题9

题目

[!question]+
(9)

分析

[!NOTE]+
|400

[!done]-
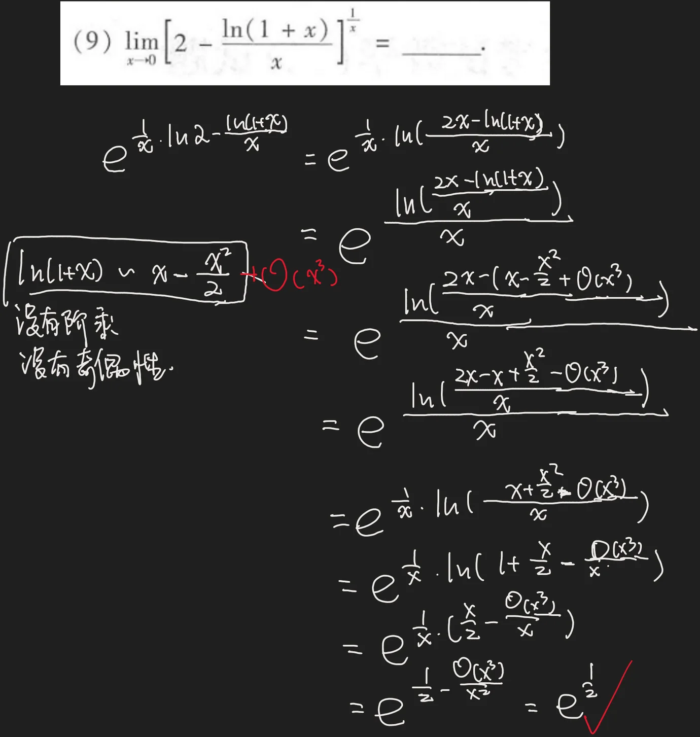
解 (法一) 将原极限改写, 得

由于

故利用重要极限 可得原极限 .

(法二) 由于 ,故 .

下面求 .

因此,原极限 .

也可以利用 来求 .

注 法二中用到了等价无穷小替换 .

这是因为,令 ,则 . 当 时, ,即 . 如果省去了这一步等价无穷小替换,那么计算会复杂许多.

一般来说, 对某个具体的未定式极限, 可以的话, 我们应先利用等价无穷小替换将其化简, 然后再利用泰勒公式或者洛必达法则进行下一步计算.