题5

题目

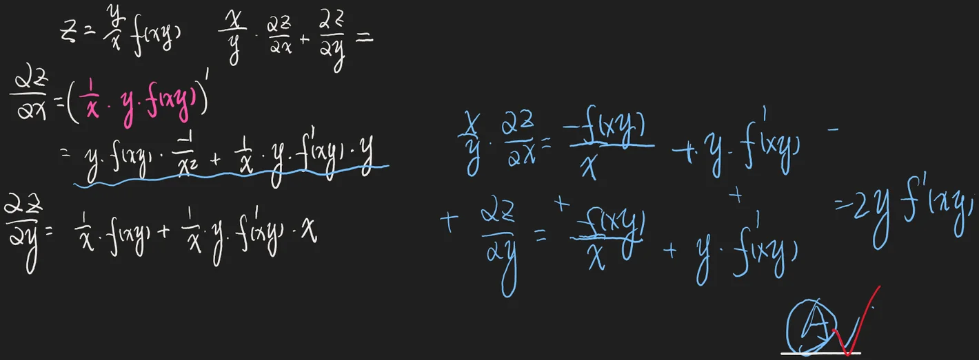
[!question]+
,其中函数 可微,则
(A) . (B) . (C) . (D) .

分析

[!NOTE]+

[!done]-
解 (法一) 用链式法则分别求 .

因此,

应选 A.

(法二) 利用全微分形式的不变性.

因此,

其余同法一.