题2

题目

[!question]+
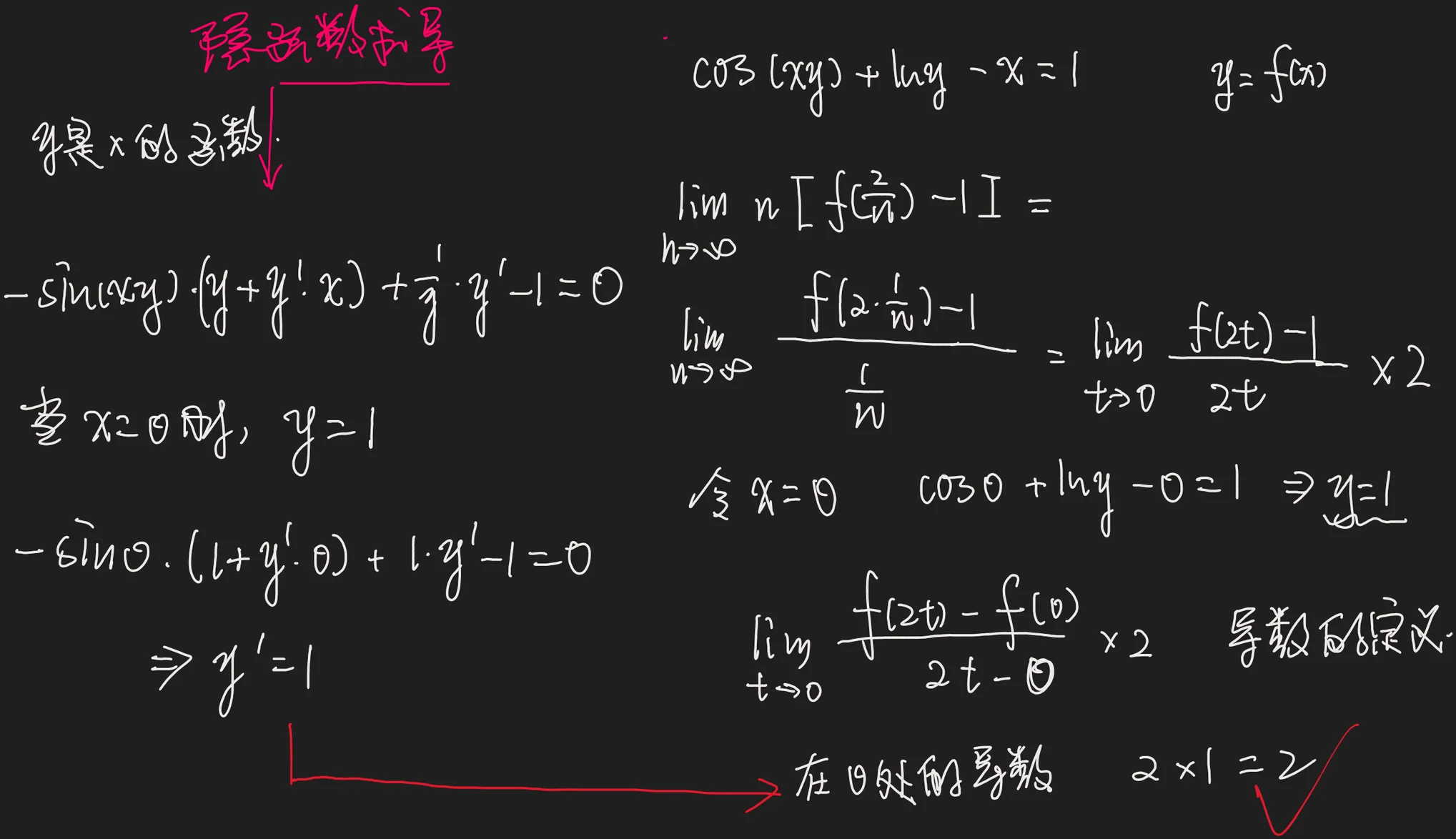
设函数 由方程 确定,则
(A) 2
(B) 1
(C) -1
(D) -2

分析

[!NOTE]+

[!done]-
解 将 代入方程 可得, .

对方程 两端关于 求导可得

代入 ,可得 .

由导数的定义可得,

应选 A.

(1) 式倒数第二个等号成立要求 存在.