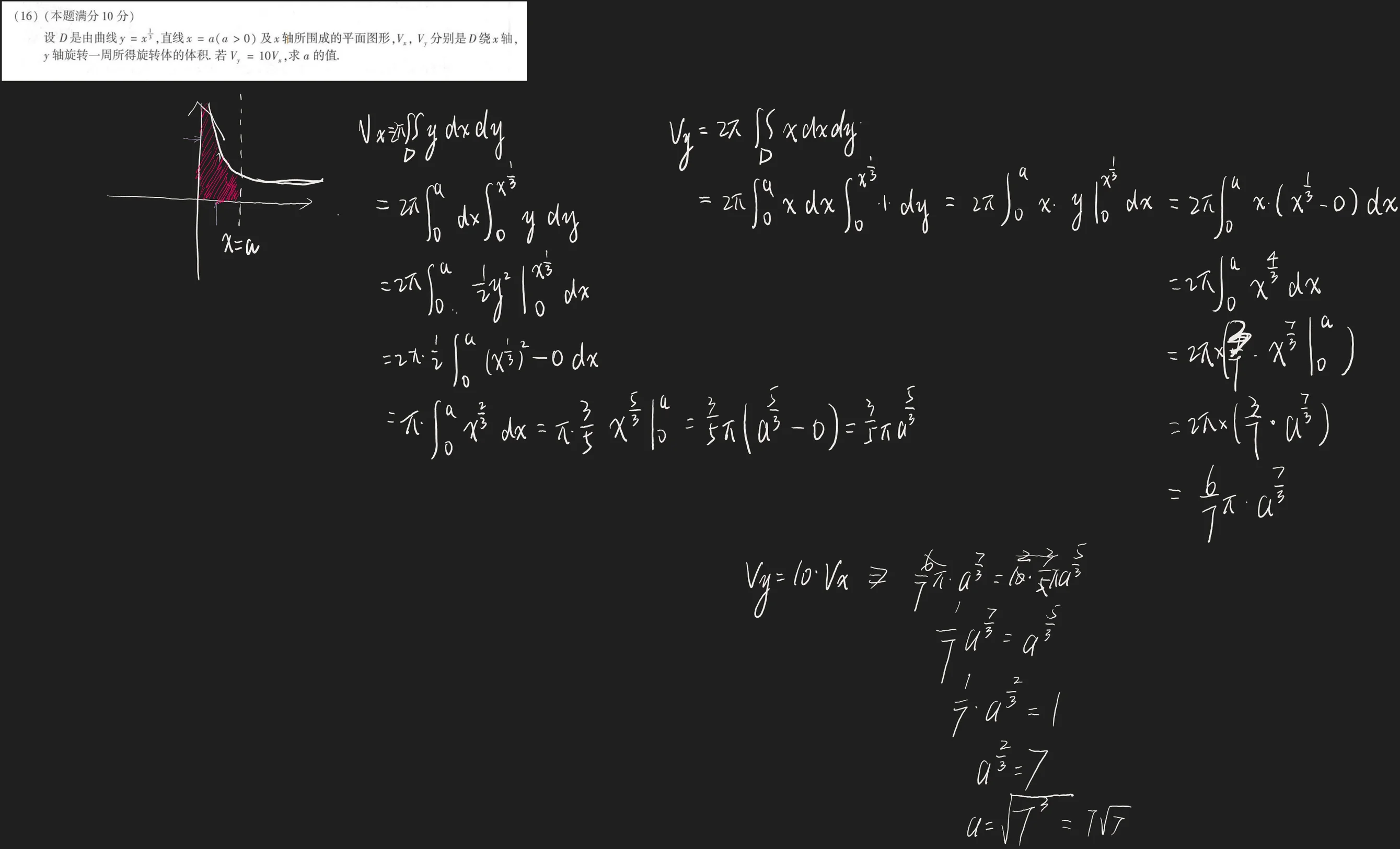
题16 题目 [!question]+ 设 是由曲线 ,直线 及 轴所围成的平面图形, 分别是 绕 轴, 轴旋转一周所得旋转体的体积. 若 ,求 的值. 分析 [!NOTE]+ 解 [!done]- 解 (法一) 绕 轴旋转所得的旋转体的体积 为 绕 轴旋转所得旋转体的体积 为 由于 ,故 . 整理得 因此, 或 . 由题设知, ,故 ,即 .