题12

题目

[!question]+
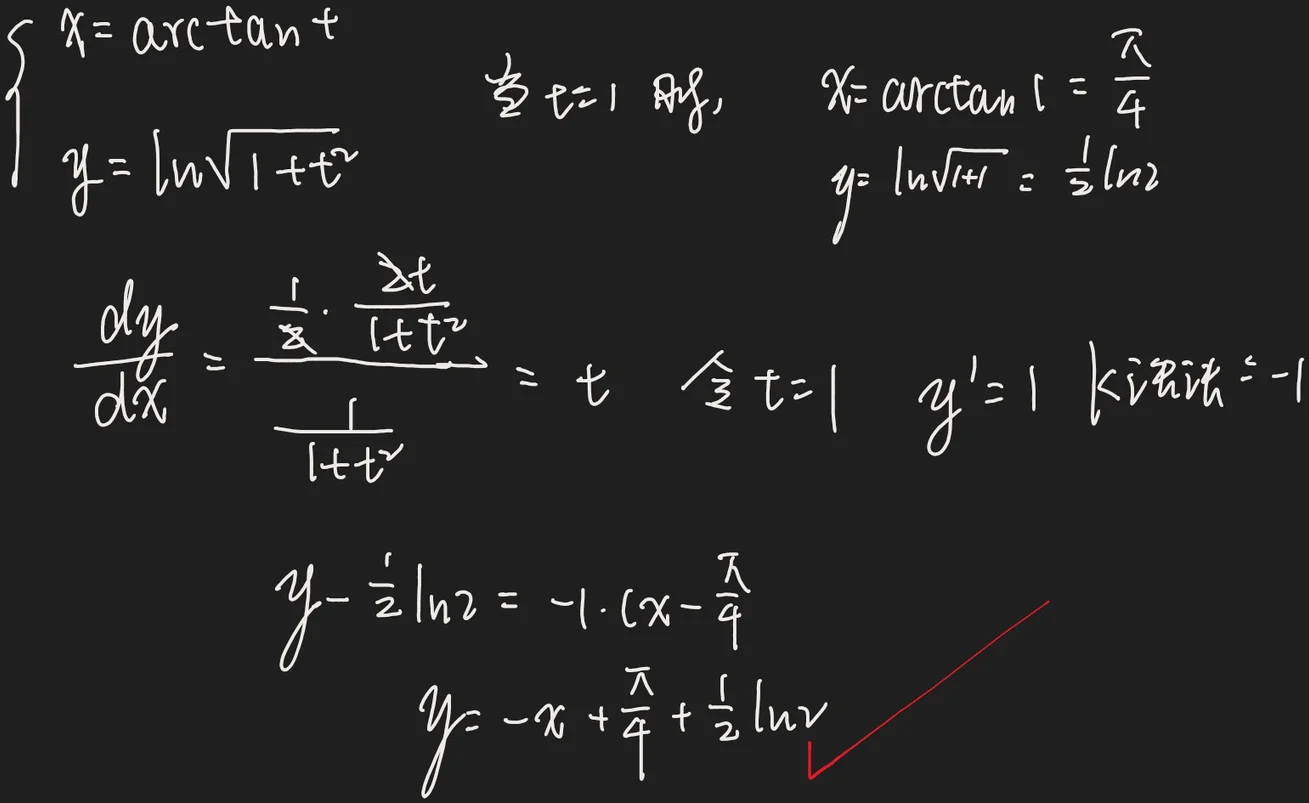
(12) 曲线 上对应于 的点处的法线方程为

分析

[!NOTE]+
|450

[!done]-
解 曲线上对应于 的点处的切线斜率为

故曲线上对应于 的点处的法线斜率为 -1 .

又因为当 时, ,所以该法线过点 ,从而可写出所求法线的点斜式方程 ,即 .

注 将 改写成 ,则 . 这样可以减少计算量.