题11

题目

[!question]+
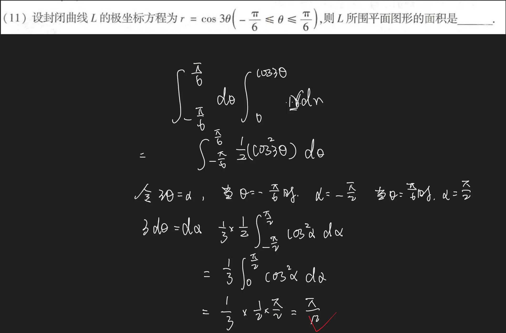
(11) 设封闭曲线 的极坐标方程为 ,则 所围平面图形的面积是

分析

[!NOTE]+
|400

[!done]-
解 由面积公式得

注 事实上,从二重积分的角度来看,在极坐标系下,封闭曲线

围成的区域 .

因此,若用二重积分来求该面积,则所得积分表达式仍为 .