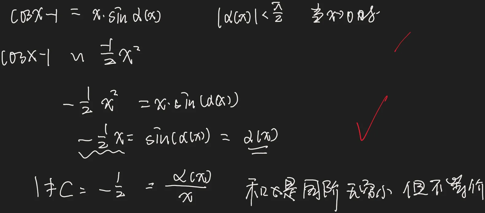
题1 题目 [!question]+ 设 ,其中 ,则当 时, 是 ( ) (A) 比 高阶的无穷小量. (B) 比 低阶的无穷小量. (C) 与 同阶但不等价的无穷小量. (D) 与 等价的无穷小量. 分析 [!NOTE]+ 解 [!done]- 解 首先说明 是 时的无穷小量. 由于 ,而分母 趋于零,故必有 . 又由于 在 上有连续的反函数 ,从而 是 时的无穷小量, . 因此, 是与 同阶但不等价的无穷小量. 应选 C. 注 不先证明 是 时的无穷小量便直接使用 ,这种做法是不严格的. 这是因为,虽然 是 在 时的等价无穷小量,但是在不知道 时, 是否趋于零的情况下,无法断言 是 的等价无穷小量.