题9

题目

[!question]+
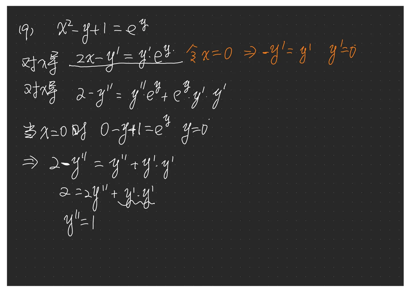
(9) 设 是由方程 所确定的隐函数,则

分析

[!NOTE]+

[!done]-
求一元隐函数 的导数的方法 对已知方程两端同时关于 求导或者同时微分.

(解) 由 可得, .

对原方程两端关于 求导,可得 . 代入 ,可得 , 即 .

两端关于 求导,可得 . 代入 , ,得 .

因此, .

注 ① 从 求出 需要解方程 . 解该方程可以看作求直线 和曲线 的交点. 由图形易知 仅有一个交点 . 交点的唯一性可由 的单调性推出.

② 因为我们要求的是 ,所以并不需要得出 的具体表达式,而只需要对已知方程两端关于 求导两次, 并代值即可. 这样可以减少计算量.