题16

题目

[!question]+
求函数 的极值.

分析

[!NOTE]+
|250

[!done]-
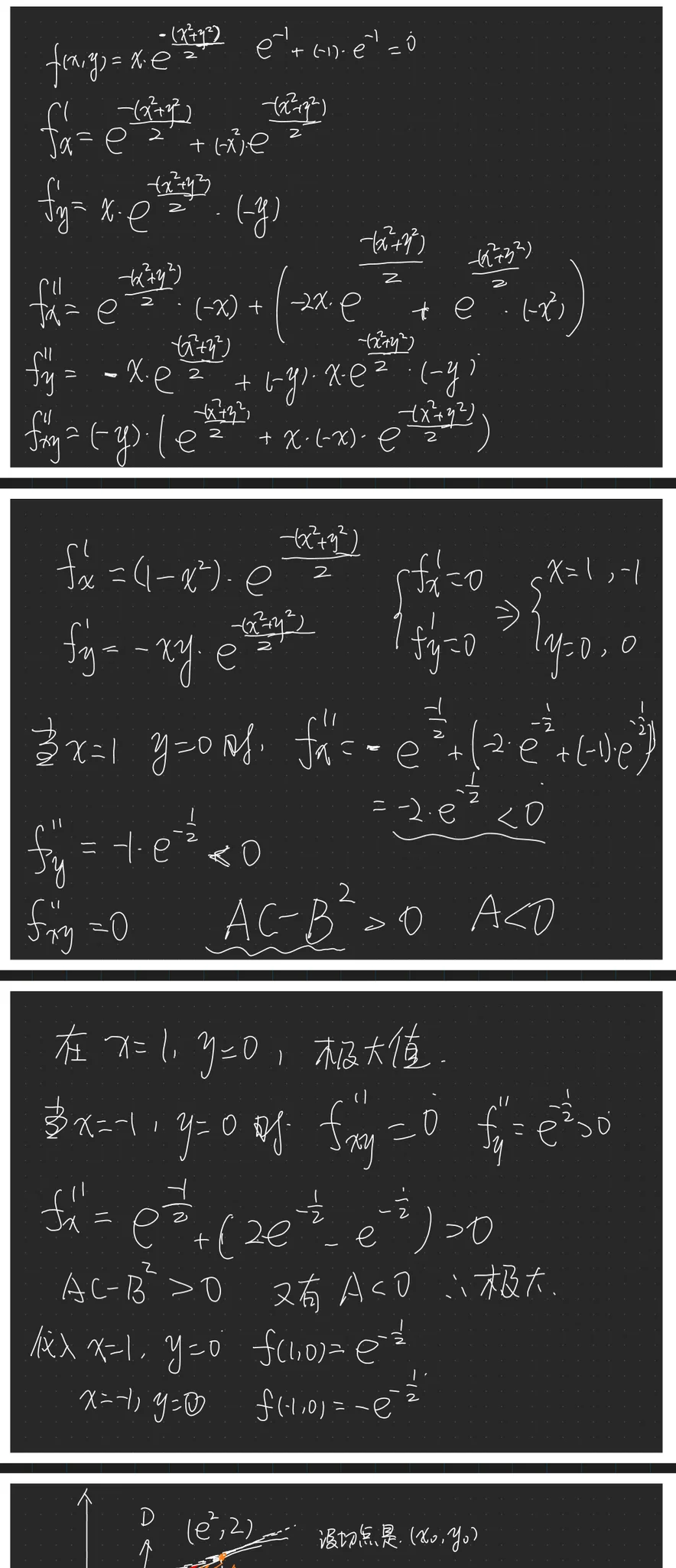
解 ① 先找到 的全部驻点.

. 由于

由于 ,故满足 的点 的驻点. 解该方程组得 .

因此,点 和点 的全部驻点.

② 计算二阶偏导数.

③ 计算 .

由于 的驻点 均满足 ,而 恒大于零,故在驻点 处, . 因此,

由于 ,故点 的极大值点, 的极大值. 同理可得,点 的极小值点, 的极小值. 因此,函数 的极大值为 ,极小值为 .

注 本题中, 均为函数乘积的形式,且其中一个因子 恒大于零. 由于在驻点 处, ,故我们可以利用求导的乘法法则简化求驻点处的二阶偏导数的计算.