题13

题目

[!question]+
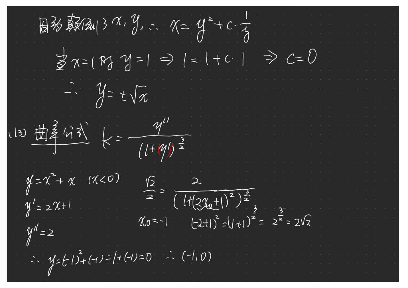
(13) 曲线 上曲率为 的点的坐标是

分析

[!NOTE]+

[!done]-
分析 本题主要考查曲率的计算. 利用曲率公式 计算即可.

解 利用曲线方程可求得 ,故

由此可求得 ,故 . 又因为 ,所以 ,此时 .

因此,所求点的坐标为 .