YiNotes
Search
Search
Dark mode
Light mode
Explorer
CSDIY
408
操作系统
动态分区分配策略
最佳适配
最坏适配
循环首次适配
首次适配
文件系统
FAT
位图法
延迟写
成组链接法
打开文件表
文件
文件控制块
文件描述符
文件系统
无结构文件
有结构文件
目录
目录项
空闲表法
空闲链表法
簇
索引分配
索引文件
索引节点
索引表
索引顺序文件
连续分配
链接分配
顺序文件
cpu利用率
IO
OS大纲
P操作
spooling
临界区
临界资源
信号量
共享资源
关中断
最短寻道时间优先
单缓冲
原语
双缓冲
同步
周转时间
命令接口
响应时间
子程序
并行
库函数
开中断
引导程序
循环扫描算法
循环缓冲区
批处理系统
操作系统
栈指针
格式化
死锁
段
段表
段页
用户态
用户程序
电梯调度
磁盘调度
等待时间
管程
管道
系统吞吐量
线程
线程控制块
缓冲池
设备名
调度算法
进程控制块
进程通信
逻辑设备表
数据结构
图的基本术语
无向图
无向图
连通
连通分量
连通图
有向图
强连通
强连通分量
强连通图
有向图
出度
回路
子图
完全图
极大连通子图
极小连通图
生成子图
生成树
顶点的度
图的表示方式
十字链表
图的存储
图的表示方式
边集数组
邻接矩阵
邻接表
链式前向星
链式邻接表
外部排序
外部排序
归并树
置换-选择排序
败者树
散列表
开放定址法
散列表
装填因子
链地址法处
栈
后缀表达式
栈
树的术语和性质
左孩子右兄弟
树的度
树的术语和性质
树的高度
森林
AOE
ASL
B+树
B树
优先队列
共享栈
关键路径
分块查找
单调栈
单调队列
卡特兰数
双端队列
完全二叉树
循环链表
循环队列
数据结构
时间复杂度
空间复杂度
线索二叉树
贪心
顺序查找
计算机组成原理
指令系统
指令寻址
指令寻址
跳跃寻址
顺序寻址
数据寻址
偏移寻址
变址寻址
基址寻址
相对寻址
其他寻址
堆栈寻址
寄存器寻址
寄存器间接寻址
数据寻址
直接寻址
立即寻址
间接寻址
隐含寻址
变长指令
地址码
定长指令
寻址方式
指令
指令字长
指令系统
操作码
机器字长
ALU
CLOCK 置换
CPU
DMA
IO接口
IO控制方式
IO端口
IO设备
ROM
中断向量
中断响应
中断处理
中断处理程序
中断屏蔽字
中断控制器
中断服务程序
中断隐指令
中断驱动方式
主频
全写
内存
加法器
右移
周期挪用
回写
地址总线
块容量
外部中断
存储字长
存储容量
寄存器
局部性
左移
微指令
总线
总线周期
总线带宽
总线时钟频率
指令周期
控制器
数据冒险
数据总线
数据通路
断点
时钟周期
流水线
浮点数
溢出
特权指令
猝发
程序状态字寄存器
程序计数器
结构冒险
补码
计算机组成原理
设备驱动
软中断指令
通用寄存器
陷入指令
计算机网络
ALOHA
中继器
冲突域
计算机网络
默认网关
408笔记收藏
408知识整理
408操作系统(专有部分)全归纳
408操作系统历年选择题归纳与简析(2009~2024)
408数据结构全归纳
408数据结构历年选择题归纳与简析(2009~2024)
408易错冷门知识点、概念总结和补充
408知识整理
408计算机组成(专有部分)全归纳
408计算机组成&操作系统(公共部分)全归纳
408计算机组成原理历年选择题归纳与简析(2009~2024)
408计算机网络全归纳
408计算机网络历年选择题归纳与简析 (2009~2024)
408题型简介及做题策略
如何对待408卷子的各个部分
计算机考研408-历史沿革考证
千葉原
408史上最难算法题:两个升序数组的中位数
408操作系统考点:简单同步问题
408高频考点:时间复杂度
操作系统
操作系统总集篇-学习札记
操作系统4-内存与虚拟内存
操作系统5-IO与存储
25年408大纲新增考点-Unix信号机制
2025年408新增考点-多处理机调度总结与相关题目
多处理机调度详解-2025年408大纲新增考点
小火龙pv大题
数据结构
哈希表之ASL和不成功ASL的计算(平均查找长度)
树、森林与二叉树之间的转换
树、森林和二叉树的转换
漫舞八月
DS-漫舞八月
Dijkstra算法的手动分析
数据结构-串-手算KMP算法的next和nextval数组
数据结构-图-图的定义
数据结构-图-图的常用算法
数据结构-图-有向无环图的应用
数据结构-排序-内部排序
数据结构-排序-外部排序
数据结构-排序-快速排序的非递归算法
数据结构-数组-数组的基本操作
数据结构-数组-数组的相关算法
数据结构-查找-散列表
数据结构-查找-树型查找
数据结构-栈-卡特兰数
数据结构-栈-栈在表达式求值的应用
数据结构-树-二叉树的相关算法
数据结构-树-哈夫曼树及其应用
数据结构-树-并查集的基本操作
数据结构-树-树、二叉树、森林的转换
数据结构-树-树及森林的定义
数据结构-树-线索二叉树
数据结构-树和图的性质
数据结构-矩阵-矩阵的相关公式推导
数据结构-链表-链表的相关算法
数据结构-队列-队列的基本操作
OS-漫舞八月
OS-IO管理-IO层次结构
OS-内存-内存的分配和管理方式
OS-内存-地址翻译流程图
OS-内存-页面分配策略和页面置换算法
OS-总论-发展历程、体系结构、虚拟机
OS-文件-文件层次结构
OS-进程-PV-操作-吸烟者问题
OS-进程-PV-操作-哲学家问题
OS-进程-PV-操作-理发师问题
OS-进程-PV操作-生产者消费者问题
OS-进程-PV操作-读者写者问题
OS-进程-进程的概念
OS-进程-进程的调度算法
浅析 IA-32 架构的分段机制和保护机制
浅析 IA-32 架构的分页机制和中断机制
计组-漫舞八月
计组-IO系统-IO控制方式
计组-处理器-处理器的相关概念
计组-处理器-微程序控制器
计组-处理器-数据通路
计组-处理器-流水线技术
计组-存储-cache和页式虚拟存储器
计组-存储-关于交叉存储器检测访问冲突的一种算法
计组-存储-存储器的相关知识
计组-存储-磁盘及其调度算法
计组-总线-总线的概念和计算
计组-指令-扩展操作码的树形解法
计组-指令-指令系统
计组-数据-定点数的编码与运算
计组-数据-浮点数的编码与运算
计网-漫舞八月
计网-传输层-TCP协议
计网-应用层-万维网
计网-应用层-域名系统DNS、文件传输协议FTP、电子邮件
计网-数据链路层-介质访问控制协议(MAC协议)
计网-数据链路层-局域网(LAN)
计网-数据链路层-差错控制(检错编码、纠错编码)
计网-数据链路层-广域网(WAN)
计网-数据链路层-流量控制与可靠传输机制
计网-数据链路层-集线器、网桥、交换机
计网-物理层--通信基础
计网-网络层-IPv4和IPv6
计网-网络层-IP层-配套协议、IP多播、移动IP
计网-网络层-变长子网划分问题的二叉树解法
计网-网络层-路由选择协议
计组
存储器层次结构(三)Cache 的性能评估与改进-组相联、全相联、直接映射
存储器层次结构(二)Cache 基础知识 - 结构、读写
存储器层次结构(五)虚拟机与虚拟存储-页表、TLB(详细图解)
深入理解计算机系统_3
计网
计算机网络黑书总览
长路
OS-长路
OS第五章-输入输出IO管理-拆分
一、IO 管理概述
1.1、IO 设备的概念与分类
1.1、IO 设备的概念与分类
1.2、IO 控制器
1.2、IO 控制器
1.3、IO 控制方式
1.3、IO 控制方式
1.4、IO 软件层次结构
1.4、IO 软件层次结构
1.5、输入输出应用程序接口和驱动程序接口
1.5、输入输出应用程序接口和驱动程序接口
一、IO 管理概述
三、磁盘和固态硬盘
三、磁盘和固态硬盘
二、设备独立性软件
二、设备独立性软件
24考研408-OS第一章-计算机系统概述
24考研408-OS第三章-内存管理
24考研408-OS第二章-进程
24考研408-OS第五章-输入输出IO管理
24考研408-OS第四章-文件管理
计组-长路
24考研408-计组第一章-计算机系统概述
24考研408-计组第七章-输入输出
24考研408-计组第三章-存储
24考研408-计组第二章-数据的表示
24考研408-计组第五章-中央处理器
24考研408-计组第六章-总线
24考研408-计组第四章-指令系统
计网-长路
24考研408-计网-第一章-计网结构体系
24考研408-计网-第三章-数据链路层
24考研408-计网-第二章-物理层
24考研408-计网-第五章-传输层
24考研408-计网-第六章-应用层
24考研408-计网-第四章-网络层
24考研408-数据结构第八章-排序
前端
Vite
5-vite中集成的postcss插件
口袋操作系统
虚拟化-第一集
进程基础-第二集
进程编程接口-shell是如何构建的
机器学习
LLM Powered Autonomous Agents
Transformer 的优化方案都有哪些
什么是 Flash Attention
什么是 GGUF
什么是 Grouped-Query Attention
什么是 LLM 微调技术
什么是 LLM 蒸馏技术
什么是 Multi-Head Attention
什么是 Multi-Query Attention
什么是 Pythonic 函数调用
什么是 RAG 技术
什么是 Transformer
什么是向量嵌入
什么是向量数据库
什么是多模态模型?
什么是大语言模型量化 每个量化精度都代表什么
什么是推测性解码
什么是模型上下文协议(MCP)?它如何比传统API更简单地集成AI?
什么是模态编码?
大模型微调最佳实践指南 (超简洁版)
如何本地运行 GGUF 格式的 LLM 模型
真正的AI智能体即将到来:告别死板提示词,迎接自主规划时代!
问答:智能体跟Ai编程这两者的区别,智能体适合什么场景,Ai编程适合什么场景?
湖科大计网
应用层
DNS域名系统
DNS域名系统-UDP协议封装
本地域名服务器
权限域名服务器
根域名服务器
迭代查询
递归查询
顶级域名服务器
万维网WWW
HTTP超文本传输协议
万维网WWW
电子邮件-CS模式-TCP封装
IMAP
MIME多用途邮件扩展
POP邮局协议
SMTP简单邮件传送协议的工作过程
电子邮件-CS模式-TCP封装
邮件读取协议
cookie记录信息
FTP文件传输协议-TCP封装
P2P对等方式
Web缓存与代理服务器
动态主机配置协议DHCP
客户-服务器模式
应用层
数据链路层
10BASE-T
100BASE-T
802.11无线局域网
ARQ
CSMA-CA协议的基本原理
CSMA-CD协议的基本原理
MAC地址
交换机
信道动态分配
信道静态分配
停止-等待协议SW
共享式以太网的争用期
共享式以太网的信道利用率
共享式以太网的最小帧长和最大帧长
共享式以太网的退避算法
千兆以太网
回退N帧协议GBN
奇偶校验
循环冗余校验
数据链路层
点对点协议PPP
网桥
虚拟局域网VLAN
选择重传协议SR
透明传输
透明网桥的自学习和转发帧的流程
物理层
信道复用
同步传输
基本的带通调制方法和混合调制方法
奈氏准则
导引型传输媒体
差分曼彻斯特编码
异步传输
时分复用
曼彻斯特编码
波分复用WDM-光的频分复用
物理层
码元
码分复用
非导引型传输媒体
频分复用
香农公式
网络层
ARP地址解析协议
ARP地址解析协议
BGP边界网关协议
BGP边界网关协议
ICMPv6网际报文协议
ICMPv6网际报文协议
ICMP网际控制报文协议
ICMP网际控制报文协议
ipv4
CIDR
ipv4
子网掩码
路由聚合
ipv4数据报的首部格式
ipv4数据报的首部格式
区分服务-ipv4
协议-ipv4
可选字段-ipv4
填充字段-ipv4
总长度-ipv4
标志-ipv4
标识-ipv4
源IP地址-ipv4
片偏移-ipv4
版本-ipv4
生存时间-ipv4
目的IP地址-ipv4
首部检验和-ipv4
首部长度-ipv4
ipv6
ipv6
IP多播
IP多播
单播
多播
广播
NAT网络地址转换
NAT网络地址转换
OpenFlow协议
OpenFlow协议
OSPF协议-开放最短路径优先协议
OSPF协议-开放最短路径优先协议
与异构网络互联
与异构网络互联
分片的概念
ipv4数据报分片
局域网上的硬件多播
局域网上的硬件多播
移动IP技术
外地代理
外地网络
归属代理
归属地址
归属网络
移动IP技术
转交地址
网络层概述
无连接的数据报服务
网络层的任务
面向连接的虚电路服务
网际协议IP
网际协议IP
虚拟专用网VPN
虚拟专用网VPN
路由信息协议RIP
路由信息协议RIP
路由器的基本工作原理
路由器-黑书
交换结构
交换结构
通过互联网络
通过存储器
通过总线
排队
排队-路由器
输入排队-排队
输出排队-路由器
调度机制
优先权排队-路由器调度
先进先出-路由器调度
循环加权公平排队-路由器调度
调度机制-路由器
路由器的基本工作原理
路由选择分类
路由选择协议
软件定义网络SDN
软件定义网络SDN
进行IP多播需要的两种协议
IGMP网际组管理协议
多播路由选择协议
进行IP多播需要的两种协议
静态路由配置
静态路由配置
默认路由
网络层
计网体系结构
RTT
吞吐量
带宽
时延
时延带宽积
网络速率单位
计网体系结构
运输层
TCP-IP运输层的两个重要协议
TCP-IP运输层的两个重要协议
TCP-传输控制协议-详解
TCP流量控制
TCP的连接
TCP连接释放
UDP
全双工和半双工
全双工
全双工和半双工
半双工
发送方的复用和接收方的分用
端口号
运输层
运输层端口号应用举例
进程间基于网络的通信
计算机系统
九曲CSAPP
1-1.计算机系统漫游
1-2.计算机系统漫游
1-3.计算机系统漫游
1-4.计算机系统漫游
2-1.信息的存储(上)
2-1.信息的存储(下)
2-2.整数的表示(上)
2-2.整数的表示(下)
2-3.整数的运算(上)
2-3.整数的运算(下)
2-4.浮点数(上)
2-4.浮点数(下)
3-1.程序的机器级表示
3-2.寄存器与数据传送指令
3-3.栈与数据传送指令
3-4.算术和逻辑运算指令
3-5.指令与条件码
3-6.跳转指令与循环
3-7. 过程(函数调用)
3-8.数组的分配和访问
3-9.结构体与联合体
3-10.缓冲区溢出
4-1.指令系统结构
4-2.数字电路与处理器设计
4-3. Y86-64的顺序实现
4-4. Y86-64处理器硬件结构
4-5. 流水线的通用原理
4-6. 流水线硬件结构
4-7. 数据冒险
4-8. 控制冒险
4-9. Y86-64的流水实现
4-10. 流水线的控制逻辑
5-1. 优化程序性能
5-2. 优化程序性能
5-3. 理解现代处理器
5-4. 数据流图
5-5. 循环展开
5-6. 理解内存性能
6-1. 存储技术
6-2. 机械磁盘
6-4. 存储器层次结构
6-5. 直接映射高速缓存
异常控制
execve函数
fork函数
linux进程体系
longjmp函数
setjmp函数
sleep函数和pause函数
waitpid函数和wait函数
中断
信号
信号传送的过程
僵尸进程
内核
回收子进程
并发
异常
控制流
故障
程序
系统调用
终止
终止进程
跳转转移控制权
进程
进程图
进程的创建
进程组
进程调度
陷阱
程序间通信
一文吃透程序间的通信
不足值的问题
缓冲区
缓存策略
组相联
组相联
cache
不命中
不命中处罚
全相联
命中时间
地址跟踪-cache地址格式解读
平均访问时间作为评价指标
直接映射
矩阵乘法的性能优化
虚拟地址
i7内存系统
TLB
TLB不命中
TLB命中
伙伴系统
使用k级页表的地址翻译
内存映射
内存的组织结构
内部碎片
分离适配
分离链表分配器
动态内存分配
地址空间
地址翻译
垃圾
垃圾收集
垃圾收集器
外部碎片
多级页表
显式空闲链表
标记-清除算法
物理地址
碎片
简单分离存储
缺页
缺页处理
虚拟内存
虚拟内存作为内存保护的工具
虚拟内存作为内管管理的工具
虚拟内存的作用
虚拟地址
虚拟地址视角下的execve函数
虚拟地址视角下的fork函数
隐式空闲链表
页表
页面
页面分配
题9.11
链接
ELF
PIC函数调用
PIC数据引用
static属性变量
从c到可执行
位置无关代码
全局符号
共享库
共享库的问题
创建静态库
加载可执行文件
可执行目标文件
可重定位目标文件
外部符号
局部符号
目标文件
符号
符号表
符号解析
符号解析规则
节
重定位
重定位PC相对引用
重定位条目
重定位符号引用
重定位算法
重定位类型
重定位绝对引用
链接器
静态库链接
静态链接库
刷题
25DS-王道
第 1 章 绪论
1.1 数据结构的基本概念
1.1 数据结构的基本概念
anki
1.2 算法和算法评价
1.2 算法和算法评价
anki
题12
题16
第 1 章 绪论
第 2 章 线性表
2.1 线性表的定义和基本操作
题2
题3
题4
2.2 线性表的顺序表示
2.2 线性表的顺序表示
题1
题2
题3
题4
题5
题6
题7
题8
2.3 线性表的链式表示
2.3 线性表的链式表示
题1
题2
题3
题4
题5
题6
题7
题8
题9
题10
题11
题12
题13
题14
题15
题16
题17
题18
题19
题20
题21
题22
题23
题24
题25
题26
题27
题28
题29
题30
题31
题32
题33
题34
题35
综合题-第二章线性表
2.2 线性表的顺序表示
2.3 线性表的链式表示
综合题-第二章线性表
题10
题12
题13
题20
第 2 章 线性表
第 3 章 栈、队列和数组
3. 1 栈
3. 1 栈
题1
题2
题3
题4
题5
题6
题7
题8
题9
题10
题11
题12
题13
题14
题15
题16
题17
题18
题19
题20
题21
题22
题23
题24
题25
题26
题27
题28
题29
题30
题31
3. 2 队列
3. 2 队列
题1
题2
题3
题4
题5
题6
题7
题8
题9
题10
题11
题12
题13
题14
题15
题16
题17
题18
题19
题20
题21
题22
题23
题24
3. 3 栈和队列的应用
3. 3 栈和队列的应用
题1
题2
题3
题4
题5
题6
题7
题8
题9
题10
题11
题12
题13
题14
题15
题16
题17
题18
3. 4 数组和特殊矩阵
3. 4 数组和特殊矩阵
题1
题2
题3
题4
题5
题6
题7
题8
题9
题10
题11
题12
题13
题14
题15
题16
综合题-第三章栈、队列和数组
3.2 队列
综合题-第三章栈、队列和数组
题4
第 3 章 栈、队列和数组
第 4 章 串
4.2 串的匹配模式
4.2 串的匹配模式
题1
题2
题3
题4
题5
题6
题7
题8
题9
题10
题11
第 5 章 树与二叉树
5. 1 树的基本概念
5. 1 树的基本概念
题1
题2
题3
题4
题5
题6
题7
题8
题9
题10
5. 2 二叉树的概念
5. 2 二叉树的概念
题1
题2
题3
题4
题5
题6
题7
题8
题9
题10
题11
题12
题13
题14
题15
题16
题17
题18
题19
题20
题21
题22
题23
题24
题25
题26
题27
题28
5. 3 二叉树的遍历和线索二叉树
5. 3 二叉树的遍历和线索二叉树
题1
题2
题3
题4
题5
题6
题7
题8
题9
题10
题11
题12
题13
题14
题15
题16
题17
题18
题19
题20
题21
题22
题23
题24
题25
题26
题27
题28
题29
题30
题31
题32
题33
题34
题35
题36
题37
题38
题39
题40
题41
题42
题43
5. 4 树、森林
5. 4 树、森林
题1
题2
题3
题4
题5
题6
题7
题8
题9
题10
题11
题12
题13
题14
题15
题16
题17
题18
题19
5.5 树与二叉树的应用
5.5 树与二叉树的应用
题1
题2
题3
题4
题5
题7
题8
题9
题10
题11
题12
题13
题14
题15
题16
题17
题18
题19
题20
题21
题22
综合题-第5章树与二叉树
5.2 二叉树的概念
5.2 二叉树的概念
题6
5.3 二叉树的遍历和线索二叉树
5.3 二叉树的遍历和线索二叉树
题18
题19
5.5 树与二叉树的应用
5.5 树与二叉树的应用
题2
题3
综合题-第5章树与二叉树
第 5 章 树与二叉树
第 6 章 图
6. 1 图的基本概念
6. 1 图的基本概念
题1
题2
题3
题4
题5
题6
题7
题8
题9
题10
题11
题12
题13
题14
题15
题16
题17
题18
题19
6. 2 图的存储及基本操作
6. 2 图的存储及基本操作
题1
题2
题3
题4
题5
题6
题8
题9
题10
题11
题12
题13
题14
题15
题16
题17
题18
6. 3 图的遍历
6. 3 图的遍历
题1
题2
题3
题4
题5
题6
题7
题8
题9
题10
题11
题12
题13
题14
题15
题16
题17
题18
6. 4 图的应用
6. 4 图的应用
题1
题2
题3
题4
题5
题6
题7
题8
题9
题10
题11
题12
题13
题14
题15
题16
题17
题18
题19
题20
题21
题22
题23
题24
题25
题26
题27
题28
题29
题30
题31
题32
题33
题34
题35
题36
题37
题38
题39
题40
题41
题42
题43
题44
题45
题46
综合题-第6章图
6.2 图的存储及基本操作
6.2 图的存储及基本操作
题6
题7
题8
6.4 图的应用
6.4 图的应用
题8
题12
综合题-第6章图
第 6 章 图
第 7 章 查找
7.2 顺序查找和折半查找
7.2 顺序查找和折半查找
题1
题2
题3
题4
题5
题6
题7
题8
题9
题10
题11
题12
题13
题14
题15
题16
题17
题18
题19
题20
题21
题22
题23
题24
7.3 树型查找
7.3 树型查找
题1
题5
题9
题10
题11
题13
题16
题17
题18
题20
题21
题22
题24
题25
题26
题29
题30
题32
题33
7.4 B树和B+树
7.4 B树和B+树
题1
题2
题4
题5
题6
题7
题8
题9
题13
题18
题19
题20
题21
题22
7.5 散列表
7.5 散列表
题1
题3
题4
题5
题6
题10
题12
题13
题15
题16
题18
题20
题21
题23
综合题-第7章-查找
综合题-第7章-查找
题7
第 7 章 查找
第 8 章 排序
8.1 排序的基本概念
题4
8.2 插入排序
题2
题5
题8
题9
题17
题21
8.3 交换排序
8.3 交换排序
题1
题2
题5
题6
题7
题11
题12
题14
题17
题18
8.4 选择排序
题2
题5
题7
题9
题12
题13
题16
题18
题19
题20
8.5 归并排序、基数排序和计数排序
8.5 归并排序、基数排序和计数排序
题3
题6
题7
题8
题11
8.6 各种内部排序算法的比较及应用
8.6 各种内部排序算法的比较及应用
题1
题2
题4
题5
题6
题8
题10
题13
题15
题17
题18
题19
题20
题21
8.7 外部排序
8.7 外部排序
anki
题4
题6
题9
题10
题11
题12
题13
题14
题16
综合题-第8章-排序
综合题-第8章-排序
题3
题4
题5
题7
第 8 章 排序
综合题-DS-25WD
综合题-DS-25WD
25DS-王道
25OS-王道
第 1 章 计算机系统概述
1.1 操作系统的基本概念
1.1 操作系统的基本概念
anki
题1
题2
题3
题4
题5
题6
题7
题8
题9
题10
题11
题12
题13
题14
1.2 操作系统发展历程
1.2 操作系统发展历程
anki
题1
题2
题3
题4
题5
题6
题7
题8
题9
题10
题11
题12
题13
题14
题15
题16
题17
题18
题19
题20
1.3 操作系统的运行环境
1.3 操作系统的运行环境
anki
题1
题2
题3
题4
题5
题6
题7
题8
题9
题10
题11
题12
题13
题14
题15
题16
题17
题18
题19
题20
题21
题22
题23
题24
题25
题26
题27
题28
题29
题30
题31
题32
题33
题34
题35
题36
题37
题38
1.6 虚拟机
1.6 虚拟机
anki
题1
题2
题3
题4
题5
题6
题7
题8
题9
题10
题11
题12
题13
题14
题15
题16
题17
题18
题19
题20
题21
题22
第 1 章 计算机系统概述
第 2 章 进程与线程
2.1 进程与线程
2.1 进程与线程
题1
题2
题3
题4
题5
题6
题7
题8
题9
题10
题11
题12
题13
题14
题15
题16
题17
题18
题19
题20
题21
题22
题23
题24
题25
题26
题27
题28
题29
题30
题31
题32
题33
题34
题35
题36
题37
题38
题39
题40
题41
题42
题43
题44
题45
题46
题47
题48
题49
题50
题51
题52
题53
题54
题55
题56
题57
题58
题59
题60
题61
题62
题63
题64
题65
题66
题67
题68
题69
题70
题71
题72
2.2 CPU 调度
2.2 CPU 调度
题1
题2
题3
题4
题5
题6
题7
题8
题9
题10
题11
题12
题13
题14
题15
题16
题17
题18
题19
题20
题21
题22
题23
题24
题25
题26
题27
题28
题29
题30
题31
题32
题33
题34
题35
题36
题37
题38
题39
题40
题41
题42
题43
题44
题45
题46
题47
题48
题49
题50
2.3 同步与互斥
2.3 同步与互斥
anki
题1
题2
题3
题4
题5
题6
题7
题8
题9
题10
题11
题12
题13
题14
题15
题16
题17
题18
题19
题20
题21
题22
题23
题24
题25
题26
题27
题28
题29
题30
题31
题32
题33
题34
题35
题36
题37
题38
题39
题40
题41
题42
题43
题44
题45
题46
题47
题48
题49
题50
题51
题52
题53
题54
题55
题56
题57
题58
题59
题60
2.4 死锁
2.4 死锁
anki
题1
题2
题3
题4
题5
题6
题7
题8
题9
题10
题11
题12
题13
题14
题15
题16
题17
题18
题19
题20
题21
题22
题23
题24
题25
题26
题27
题28
题29
题30
题31
题32
题33
题34
题35
题36
题37
题38
题39
题40
题41
题42
题43
综合题
第二章 进程与线程
题17
题18
题19
题20
题21
题25
题26
题27
anki
第 2 章 进程与线程
第 3 章 内存管理
3.1 内存管理概念
3.1 内存管理概念
anki
题1
题2
题3
题4
题5
题6
题7
题8
题9
题10
题11
题12
题13
题14
题15
题16
题17
题18
题19
题20
题21
题22
题23
题24
题25
题26
题27
题28
题29
题30
题31
题32
题33
题34
题35
题36
题37
题38
题39
题40
题41
题42
题43
题44
题45
题46
题47
题48
题49
题50
题51
题52
题53
题54
题55
题56
题57
题58
题59
题60
题61
题62
题63
题64
题65
题66
题67
题68
题69
题70
题71
题72
3.2 虚拟内存管理
3.2 虚拟内存管理
题1
题2
题3
题4
题5
题6
题7
题8
题9
题10
题11
题12
题13
题14
题15
题16
题17
题18
题19
题20
题21
题22
题23
题24
题25
题26
题27
题28
题29
题30
题31
题32
题33
题34
题35
题36
题37
题38
题39
题40
题41
题42
题43
题44
题45
题46
题47
题48
题49
题50
题51
题52
题53
题54
题55
题56
题57
题58
综合题
第三章 内存管理
题11
题14
题15
题17
第 3 章 内存管理
第 4 章 文件管理
4.1 文件系统基础
4.1 文件系统基础
题1
题2
题3
题4
题5
题6
题7
题8
题9
题10
题11
题12
题13
题14
题15
题16
题17
题18
题19
题20
题21
题22
题23
题24
题25
题26
题27
题28
题29
题30
题31
题32
题33
题34
题35
题36
题37
题38
题39
题40
题41
题42
题43
题44
题45
题46
题47
题48
题49
题50
题51
题52
题53
题54
4.2 目录
4.2 目录
题1
题2
题3
题4
题5
题6
题7
题8
题9
题10
题11
题12
题13
题14
题15
题16
4.3 文件系统
4.3 文件系统
anki
题1
题2
题3
题4
题5
题6
题7
题8
题9
题10
题11
题12
题13
题14
题15
题16
综合题
第四章 文件管理
题6
题7
题9
题10
题11
第 4 章 文件管理
第 5 章 IO管理
5.1 IO管理概述
5.1 IO 管理概述
题1
题2
题3
题4
题5
题6
题7
题8
题9
题10
题11
题12
题13
题14
题15
题16
题17
题18
题19
题20
题21
题22
题23
题24
题25
5.2 设备独立性软件
5.2 设备独立性软件
anki
题1
题2
题3
题4
题5
题6
题7
题8
题9
题10
题11
题12
题13
题14
题15
题16
题17
题18
题19
题20
题21
题22
题23
题24
题25
题26
题27
题28
题29
题30
题31
题32
题33
题34
题35
题36
题37
题38
题39
题40
题41
题42
题43
5.3 磁盘和固态硬盘
5.3 磁盘和固态硬盘
anki
题1
题2
题3
题4
题5
题6
题7
题8
题9
题10
题11
题12
题13
题14
题15
题16
题17
题18
题19
题20
题21
题22
题23
题24
题25
题26
题27
题28
题29
题30
题31
题32
综合题
第五章 输入输出(IO)管理
题1
题7
anki
第 5 章 IO 管理
综合题-操作系统-25WD
综合题-操作系统-25WD
25OS-王道
25计组-王道
第 1 章 计算机系统概述
1.2 计算机系统层次结构
1.2 计算机系统层次结构
anki
题1
题2
题3
题4
题5
题6
题7
题8
题9
题10
题11
题12
题13
题14
题15
题16
题17
题18
题19
题20
题21
题22
题23
题24
1.3 计算机的性能指标
1.3 计算机的性能指标
anki
题1
题2
题3
题4
题5
题6
题7
题8
题9
题10
题11
题12
题13
题14
题15
题16
题17
题18
题19
题20
题21
题22
题23
题24
题25
题26
题27
题28
题29
题30
题31
第 1 章 计算机系统概述
第 2 章 数据的表示和运算
2.1数制与编码
2.1 数制与编码
anki
题6
题8
题10
题12
题13
题15
题16
题19
题23
题24
题26
题27
题28
题29
题30
题32
题33
题34
2.2运算方法和运算电路
2.2 运算方法和运算电路
anki
题23
题25
题26
题27
题29
题30
题31
题32
2.3浮点数的表示与运算
2.3 浮点数的表示与运算
anki
题2
题6
题7
题9
题10
题11
题12
题13
题14
题15
题16
题17
题18
题20
题21
题22
题23
题24
题25
题26
题27
题28
题30
题31
题33
题34
题35
题36
题37
题39
题40
题41
题43
题44
题46
题48
题49
题50
综合题
第 2 章 数据的表示和运算
题2.2.5
题2.3.5
anki
第 2 章 数据的表示和运算
第 3 章 存储系统
3.1 存储器概述
3.1 存储器概述
anki
题1
题2
题3
题4
题5
题6
题7
题8
题9
题10
题11
题12
题13
题14
3.2 主存储器
3.2 主存储器
anki
题1
题2
题3
题4
题5
题6
题7
题8
题9
题10
题11
题12
题13
题14
题15
题16
题17
题18
题19
题20
题21
题22
题23
题24
题25
题26
题27
题28
题29
题30
题31
题32
题33
题34
3.3 主存储器与cpu的连接
3.3 主存储器与cpu的连接
anki
题1
题2
题3
题4
题5
题6
题7
题8
题9
题10
题11
题12
题13
题14
题15
题16
题17
3.4 外部存储器
3.4 外部存储器
anki
题1
题2
题3
题4
题5
题6
题7
题8
题9
题10
题11
题12
3.5 高速缓冲存储器
3.5 高速缓冲存储器
anki
题1
题2
题3
题4
题5
题6
题7
题8
题9
题10
题11
题12
题13
题14
题15
题16
题17
题18
题19
题20
题21
题22
题23
题24
题25
题26
题27
题28
题29
题30
题31
题32
题33
3.6 虚拟存储器
3.6 虚拟存储器
anki
题1
题2
题3
题4
题5
题6
题7
题8
题9
题10
题11
题12
题13
题14
题15
题16
题17
题18
题19
题20
综合题
3.5 高速缓冲存储器
3.5 高速缓冲存储器
题5
题7
3.6 虚拟存储器
3.6 虚拟存储器
题4
题6
题7
第 3 章 存储系统
第 3 章 存储系统
第 4 章 指令系统
4.1 指令系统
4.1 指令系统
题2
题3
题4
题10
题12
题14
题15
4.2 指令的寻址方式
4.2 指令的寻址方式
题1
题2
题3
题4
题5
题6
题7
题8
题9
题10
题11
题12
题13
题14
题15
题16
题17
题18
题19
题20
题21
题22
题23
题24
题25
题26
题27
题28
题29
题30
题31
题32
题33
题34
4.3 程序的机器级代码表示
4.3 程序的机器级代码表示
题5
题6
4.4 CISC和RISC的基本概念
4.4 CISC 和 RISC 的基本概念
题4
题5
综合题
第 4 章 指令系统
题1
题2
题3
题4
题6
题7
题8
题9
第 5 章 中央处理器
5.1 CPU的功能和基本结构
5.1 CPU 的功能和基本结构
题1
题2
题6
题7
题8
题10
题11
题19
题22
题23
题24
题26
5.2 指令执行过程
5.2 指令执行过程
题4
题6
题10
题11
题12
题14
题15
5.3 数据通路的功能和基本结构
题6
题9
题11
5.4 控制器的功能和工作原理
5.4 控制器的功能和工作原理
anki
题2
题3
题5
题6
题8
题10
题13
题17
题18
题19
题21
题22
题23
题24
5.5 异常和中断机制
题6
题8
题9
题10
5.6 指令流水线
5.6 指令流水线
anki
题2
题3
题4
题5
题8
题10
题11
题13
题14
题19
题20
题22
题23
题25
题26
题27
题28
题29
5.7 多处理机的基本概念
5.7 多处理机的基本概念
题2
综合题
第 5 章中央处理器
第 5 章中央处理器
题3
题7
题8
第 6 章 总线
6.1 总线概述
6.1 总线概述
anki
题1
题2
题3
题4
题5
题6
题7
题8
题9
题10
题11
题12
题13
题14
题17
题18
题19
题20
题21
题22
题23
题24
题25
题26
题27
6.2 总线事务和定时
6.2 总线事务和定时
anki
题1
题2
题3
题4
题5
题6
题7
题8
题9
题10
题11
题12
题13
题14
题15
题16
题17
题18
题19
题20
第 7 章 IO系统
7.1 IO 系统基本概念
7.1 IO 系统基本概念
anki
题1
题2
题3
题4
7.2 IO 接口
7.2 IO 接口
anki
题1
题2
题3
题4
题5
题6
题7
题8
题9
题10
题11
题12
题13
题15
题16
题17
题18
7.3 IO 方式
7.3 IO 方式
anki
题1
题2
题3
题4
题5
题6
题7
题8
题9
题10
题11
题12
题13
题14
题15
题16
题17
题18
题19
题20
题21
题22
题23
题24
题25
题26
题27
题28
题29
题30
题31
题32
题33
题34
题35
题36
题37
题38
题39
题40
题41
题42
题43
题44
题45
题46
题47
题48
题49
题50
题51
题52
题53
题54
题55
综合题
第 7 章 输入输出系统
题7
题8
题10
anki
第 7 章 IO 系统
综合题-计组-25WD
综合题-计组-25WD
25计组-王道
25计网-王道
第 1 章 计算机网络体系结构
1.1 计算机网络概述
1.1 计算机网络概述
anki
题1
题2
题3
题4
题5
题6
题7
题8
题9
题10
题11
题12
题13
题14
题15
题16
题17
题18
题19
题20
题21
1.2 计算机网络体系结构与参考模型
1.2 计算机网络体系结构与参考模型
anki
题1
题2
题3
题4
题5
题6
题7
题8
题9
题10
题11
题12
题13
题14
题15
题16
题17
题18
题19
题20
题21
题22
题23
题24
题25
题26
题27
题28
题29
题30
题31
题32
题33
题34
题35
题36
题37
题38
题39
anki
第 1 章 计算机网络体系结构
第 2 章 物理层
2.1 通信基础
2.1 通信基础
anki
题1
题2
题4
题5
题8
题9
题10
题11
题12
题14
题15
题16
题18
题19
题20
题21
题22
题25
题26
题27
题29
题31
2.2 传输介质
2.2 传输介质
anki
题2
题3
题4
题7
题9
题12
2.3 物理层设备
2.3 物理层设备
anki
题1
题2
题3
题4
题6
题9
题10
题12
anki
第 2 章 物理层
第 3 章 数据链路层
3.1 数据链路层的功能
3.1 数据链路层的功能
anki
3.2 组帧
3.2 组帧
anki
题1
3.3 差错控制
3.3 差错控制
anki
题1
题3
题4
题5
题7
题8
3.4 流量控制与可靠传输机制
3.4 流量控制与可靠传输机制
anki
题2
题3
题4
题5
题6
题9
题10
题13
题14
题15
题16
题17
题19
题21
题23
题24
题25
题26
题27
题28
题29
题30
3.5 介质访问控制
3.5 介质访问控制
anki
题3
题4
题5
题6
题7
题8
题10
题11
题12
题14
题15
题17
题19
题20
题21
题23
题24
题25
题26
题27
题28
题29
题30
题31
题33
题34
题36
题37
题38
题39
题40
题41
题42
3.6 局域网
3.6 局域网
anki
题1
题2
题3
题5
题6
题7
题8
题10
题11
题12
题14
题15
题16
题18
题19
题21
题22
题23
题29
题30
题31
题32
3.7 广域网
3.7 广域网
anki
题1
题3
题4
题5
题7
题8
题10
题12
3.8 数据链路层设备
3.8 数据链路层设备
anki
题1
题2
题3
题4
题8
题10
题11
题12
题14
题15
题16
题18
题21
综合题
第三章 数据链路层
题7
anki
第 3 章 数据链路层
第 4 章 网络层
4.1 网络层的功能
4.1 网络层的功能
anki
题1
题2
题3
题4
题5
题6
题7
题8
题9
题10
题11
题12
题13
题14
题15
题16
题17
题18
题19
题20
题21
题22
题23
4.2 IPV4
4.2 IPV4
anki
题1
题2
题3
题4
题5
题6
题7
题8
题9
题10
题11
题12
题13
题14
题15
题16
题17
题18
题19
题20
题21
题22
题36
题37
题38
题39
题40
题41
题42
题43
题44
题45
题46
题47
题48
题49
题50
题51
题52
题53
题54
题55
题56
题57
题58
题59
题60
题61
题62
题63
题64
题65
题66
题67
题68
题69
题70
4.3 IPV6
4.3 IPV6
anki
题1
题2
题3
题4
题5
题6
题7
4.4 路由算法与路由协议
4.4 路由算法与路由协议
anki
题1
题2
题3
题4
题5
题6
题7
题8
题9
题10
题11
题12
题13
题14
题15
题16
题17
题18
题19
题20
题21
题22
题23
题24
题25
题26
题27
4.5 IP 多播
4.5 IP 多播
anki
题1
题2
题3
4.6 移动 IP
4.6 移动 IP
anki
题1
题2
题3
题4
4.7 网络层设备
4.7 网络层设备
anki
题5
题6
题9
题10
题12
题15
题16
题20
题21
综合题
第四章 网络层
题1
题4
题15
题16
题18
题19
第 4 章 网络层
第 5 章 传输层
5.1 传输层提供的服务
5.1 传输层提供的服务
anki
题1
题2
题3
题4
题5
题6
题7
题8
题9
题10
题11
题12
题13
5.2 UDP 协议
5.2 UDP 协议
anki
题1
题2
题3
题4
题5
题6
题7
题8
题9
题10
题11
题12
题13
题14
5.3 TCP 协议
5.3 TCP 协议
anki
题1
题2
题3
题4
题5
题6
题7
题8
题9
题10
题11
题12
题13
题14
题15
题16
题17
题18
题19
题20
题21
题22
题23
题24
题25
题26
题27
题28
题29
题30
题31
题32
题33
题34
题35
题36
题37
题38
题39
题40
题41
题42
题43
题44
题45
题46
题47
题48
题49
题50
题51
题52
题53
题54
题55
题56
题57
综合题
第五章 传输层
题13
题14
第 5 章 传输层
第 6 章 应用层
6.1 网络应用模型
6.1 网络应用模型
题1
题2
题3
题4
题5
题6
题7
6.2 域名系统(DNS)
6.2 域名系统(DNS)
anki
题1
题2
题3
题4
题5
题6
题7
题8
题9
题10
题11
题12
题13
题14
6.3 文件传输协议(FTP)
6.3 文件传输协议(FTP)
题1
题2
题3
题4
题5
题6
题7
题8
题9
题10
题11
题12
题13
题14
6.4 电子邮件
6.4 电子邮件
anki
题1
题2
题3
题4
题5
题6
题7
题8
题9
题10
题11
题12
6.5 万维网(WWW)
6.5 万维网(WWW)
anki
题1
题2
题3
题4
题5
题6
题7
题8
题9
题10
题11
题12
题13
题14
题15
题16
题17
综合题
第六章 应用层
题6.3.4
题6.5.3
题6.5.4
第 6 章 应用层
综合题-计网-25WD
综合题-计网-25WD
25计网-王道
张宇线代强化
第 1 讲 行列式
例1.1
例1.4
例1.5
例1.6
例1.7
第 2 讲 余子式和代数余子式的计算
例2.1
例2.2
例2.3
例2.4
第 3 讲 矩阵运算
例3.2
例3.4
例3.7
例3.9
例3.12
例3.14
例3.16
例3.17
例3.18
例3.19
例3.21
第 4 讲 矩阵的秩
例4.1
例4.2
例4.3
例4.4
例4.5
例4.8
第 5 讲 线性方程组
例5.1
例5.2
例5.4
例5.6
第 5 讲 线性方程组
第 6 讲 向量组
例6.1
例6.3
例6.5
第 6 讲 向量组
第 7 讲 特征值与特征向量
例7.1
例7.2
例7.3
例7.4
例7.5
例7.6
第 7 讲 特征值与特征向量
第 8 讲相似理论
例8.1
例8.3
例8.4
例8.5
例8.6
例8.8
例8.11
例8.12
第 8 讲相似理论
第 9 讲二次型
例9.4
例9.6
例9.9
例9.14
例9.15
第 9 讲二次型
张宇高数强化
第 1 讲 函数极限与连续
第一部分 研究f(x)
一、研究对象大观
例1.2
例1.3
例1.12
例1.13
例1.14
例1.15
例1.16
例1.19
例1.23
例1.24
例1.25
例1.29
第二部分 研究极限
一、判定类型, 做好计算
例1.53
例1.54
例1.56
例1.60
三、研究x趋近0处,f(x)的微观性态
例1.65
例1.66
第 2 讲 数列极限
七、复合函数的极限
例2.30
二、见到f(Xn,Xn+1),且其是含等式关系
例2.11
五、双通项问题
例2.20
六、数列方程f_n(x)=0的解Xn的极限问题
例2.27
四、初值x1对Xn+1=f(Xn)的敛散性影响
例2.18
第 3 讲一元函数微分学的概念
一、微分和一阶泰勒公式
一、微分 一阶泰勒公式
三、f(x)与f(x)的绝对值连续、可导的关系总结
三、f(x)与f(x)的绝对值连续、可导的关系总结
二、导数-因变量差与自变量差的比值极限
二、导数-因变量差与自变量差的比值极限
例3.5
五、函数在一点求导的问题
例3.7
例3.9
例3.10
第 4 讲一元函数微分学的计算
一、泰勒展开法
例4.1
二、莱布尼茨公式法
例4.3
五、奇偶、周期函数的高阶导数
例4.10
例4.11
八、反函数的二阶导
例4.14
四、特殊点的高阶导数
例4.9
第 4 讲一元函数微分学的计算
第5讲一元函数微分学的应用(一)几何应用
一、切线、法线与截距
一、切线、法线与截距
例5.1
三、渐近线
三、渐近线
例5.14
例5.15
例5.16
二、单调性、极值、凹凸性与拐点
例5.5
例5.6
例5.7
例5.9
例5.12
第6讲一元微分学的应用(二)中值定理、微分等式与微分不等式
第一部分用微分中值定理作证明
例6.1
例6.3
例6.7
例6.8
例6.9
例6.10
例6.11
例6.17
例6.22
例6.23
例6.26
例6.27
例6.28
例6.29
例6.30
例6.31
例6.33
第二部分讨论f(x)=0的根的个数
例6.36
第五部分用计算方法大观作证明
例6.46
例6.47
例6.50
第8讲一元函数积分学的概念与性质
第一部分求连和、连积的极限
二、放缩型(凑不成i除以n)
例8.4
例8.7
第一部分求连和、连积的极限
第三部分判断抽象型反常积分的敛散性
例8.14
例8.15
例8.18
例8.19
第二部分判断具体型反常积分的敛散性
例8.9
例8.11
第8讲一元函数积分学的概念与性质
第9讲一元函数积分学的计算
五、有理函数的积分
例 9.5
例 9.7
例 9.8
例 9.29
例9.1
例9.9
例9.10
例9.11
例9.12
例9.13
例9.16
例9.17
例9.20
例9.24
例9.25
例9.26
例9.27
例9.28
十、分段函数的积分
第 9 讲 一元函数积分学的计算
第10讲一元函数积分学的应用(一)几何应用
二、基本图形的相关几何量大观
例10.1
例10.4
例10.5
第10讲一元函数积分学的应用(一)几何应用
第11讲一元函数积分学的应用(二)积分等式与积分不等式
第一部分 定积分等式问题
七、区间再现下的积分公式
九、积分中值定理
五、祖孙三代的奇偶性
八、华里士公式
六、祖孙三代的周期性
十一、定积分的分部积分法
十二、牛顿莱布尼茨公式
第一部分定积分等式问题
第三部分 黎曼思想
第三部分黎曼思想
第二部分 定积分不等式问题
一、比较定理(保号性)
三、绝对值不等式
二、估值定理
第二部分定积分不等式问题
第11讲一元函数积分学的应用(二)积分等式与积分不等式
第12讲一元函数积分学的应用(三)物理应用与经济应用
四、引力
第13讲多元函数微分学
例13.7
例13.10
例13.13
例13.15
例13.16
例13.17
例13.18
例13.19
例13.21
例13.27
例13.29
例13.37
例13.39
例13.45
例13.47
例13.52
例13.54
例13.55
例13.58
例13.59
例13.60
第13讲多元函数微分学
第14讲二重积分
例14.1
例14.2
例14.3
例14.6
例14.8
例14.11
例14.12
例14.13
例14.14
例14.15
例14.16
例14.17
第14讲二重积分
第15讲微分方程
例15.2
第15讲微分方程
张宇高数强化
数二真题
2009年数二试题
2009年数二试题
题1
题2
题3
题4
题5
题6
题7
题8
题9
题10
题11
题12
题13
题14
题15
题16
题17
题18
题19
题20
题21
题22
题23
2010年数二试题
2010年数二试题
题1
题2
题3
题4
题5
题6
题7
题8
题9
题10
题11
题12
题13
题14
题15
题16
题17
题18
题19
题20
题21
题22
题23
2011年数二试题
2011年数二试题
题1
题2
题3
题4
题5
题6
题7
题8
题9
题10
题11
题12
题13
题14
题15
题16
题17
题18
题19
题20
题21
题22
题23
2012年数二试题
2012年数二试题
题1
题2
题3
题4
题5
题6
题7
题8
题9
题10
题11
题12
题13
题14
题15
题16
题17
题18
题19
题20
题21
题22
题23
2013年数二试题
2013年数二试题
题1
题2
题3
题4
题5
题6
题7
题8
题9
题10
题11
题12
题13
题14
题15
题16
题17
题18
题19
题20
题21
题22
题23
2014年数二试题
2014年数二试题
题1
题2
题3
题4
题5
题6
题7
题8
题9
题10
题11
题12
题13
题14
题15
题16
题17
题18
题19
题20
题21
题22
题23
2015年数二试题
2015年数二试题
题1
题2
题3
题4
题5
题6
题7
题8
题9
题10
题11
题12
题13
题14
题15
题16
题17
题18
题19
题20
题21
题22
题23
2016年数二试题
2016年数二试题
题1
题2
题3
题4
题5
题6
题7
题8
题9
题10
题11
题12
题13
题14
题15
题16
题17
题18
题19
题20
题21
题22
题23
2017年数二试题
2017年数二试题
题1
题2
题3
题4
题5
题6
题7
题8
题9
题10
题11
题12
题13
题14
题15
题16
题17
题18
题19
题20
题21
题22
题23
2018年数二试题
2018年数二试题
题1
题2
题3
题4
题5
题6
题7
题8
题9
题10
题11
题12
题13
题14
题15
题16
题17
题18
题19
题20
题21
题22
题23
2019年数二试题
2019年数二试题
题1
题2
题3
题4
题5
题6
题7
题8
题9
题10
题11
题12
题13
题14
题15
题16
题17
题18
题19
题20
题21
题22
题23
2020年数二试题
2020年数二试题
题1
题2
题3
题4
题5
题6
题7
题8
题9
题10
题11
题12
题13
题14
题15
题16
题17
题18
题19
题20
题21
题22
题23
2021年数二试题
2021年数二试题
题1
题2
题3
题4
题5
题6
题7
题8
题9
题10
题11
题12
题13
题14
题15
题16
题17
题18
题19
题20
题21
题22
2022年数二试题
2022年数二试题
题1
题2
题3
题4
题5
题6
题7
题8
题9
题10
题11
题12
题13
题14
题15
题16
题17
题18
题19
题20
题21
题22
2023年数二试题
2023年数二试题
题1
题2
题3
题4
题5
题6
题7
题8
题9
题10
题11
题12
题13
题14
题15
题16
题17
题18
题19
题20
题21
题22
2024年数二试题
2024年数二试题
题1
题2
题3
题4
题5
题6
题7
题8
题9
题10
题11
题12
题13
题14
题15
题16
题17
题18
题19
题20
题21
题22
2025年数二真题
题1
题2
题3
数二真题
线代30讲-做题本
第一章 行列式
习题部分
题1.2
题1.8
第三章 向量组
习题部分
题3.1
题3.6
例题部分
题3.7
题3.8
题3.9
第二章 矩阵
习题部分
题2.5
第五章 特征值与特征向量
习题部分
题5.11
例题部分
题5.17
题5.18
第六章 二次型
例题部分
题6.12
第四章 线性方程组
习题部分
题4.8
例题部分
题4.6
线代杂题
题116
题120
题168
计网每日一题
模拟卷一
模拟卷一
题33
题34
题35
题36
题37
题38
题39
题40
题47
模拟卷二
模拟卷二
题33
题34
题35
题36
题37
题38
题39
题40
题47
第一周
第一周
题1
题2
题3
题4
题5
题6
题7
题8
题9
题10
第七周
第七周
题1
题2
题3
题4
题5
题6
题7
第三周
第三周
题18
题19
题20
题21
题22
题23
题24
第九周
第九周
题1
题2
题3
题4
题5
题6
题7
第二周
第二周
题11
题12
题13
题14
题15
题16
题17
第五周
第五周
题1
题2
题3
题4
题5
题6
题7
第八周
第八周
题1
题2
题3
题4
题5
题6
题7
第六周
第六周
题1
题2
题3
题4
题5
题6
题7
第十一周
第十一周
题1
题2
题3
题4
题5
题6
题7
第十二周
第十二周
题1
题2
题3
题4
题5
题6
第十周
第十周
题1
题2
题3
题4
题5
题6
题7
第四周
第四周
题1
题2
题3
题4
题5
题6
题7
计网每日一题
博客
ai教育落地
DeepResearch_Google_RAG
TTS文本
咪蒙标题生成器
大模型ai在考研里有什么用
如何在serv00部署huntly
如何构造一个anki制卡agent
如何用ai和Obsidian实现每日时间跟踪和日程管理
工作流的问题
拼音转文字的提示词优化
大学数学
线代张宇
第一讲行列式
行列式
主子式
主子式
主子矩阵
子式
顺序主子式
顺序主子矩阵
余子式
代数余子式
余子式
余子式和代数余子式的线性组合的计算
克拉默法则
克拉默法则
行列式的性质
乘积的行列式等于行列式的乘积
对应行列成比例,行列式为0
某行列为0,行列式为0
行列互换
行列全带k,直接提出去
行列式的倍加性质
行列式的性质
重要行列式
三对角行列式
加边法
拉普拉斯展开式-分块矩阵
范德蒙德行列式
行和相等的行列式
重要行列式
行列式
行列式的逆序数定义
第三讲向量组
向量组
向量空间
向量空间
基
基变换
过渡矩阵
向量组的秩
向量组的秩
向量组的秩的公式和定理
线性相关的判定
线性相关的判定
向量组
极大线性无关组
等价向量组
第二讲矩阵
矩阵
初等变换
初等变换
初等矩阵
广义初等变换
矩阵乘法
特殊形态的矩阵
阶梯形矩阵
阶梯形矩阵
上下三角矩阵
单位矩阵
对角矩阵
方阵
矩阵方程
AB=0
可交换矩阵AB=BA
矩阵方程
矩阵的幂
幂等矩阵
幂零矩阵
矩阵的幂
矩阵的秩和迹
矩阵的秩
矩阵的迹
秩1矩阵
西尔维斯特不等式
矩阵的逆
矩阵的逆
逆矩阵
逆矩阵的充要条件
逆矩阵的性质和公式
重要矩阵
伴随矩阵
分块矩阵
反对称矩阵
增广矩阵
对称矩阵
格拉姆矩阵
正交矩阵
转置矩阵
重要矩阵
sherman-morrison公式
矩阵等价
第五讲特征值与特征向量
jordan标准型
实对称矩阵
特征值
特征多项式
相似对角化
相似矩阵
谱分解定理
第六讲二次型
二次型
正定二次型
正定二次型
正定矩阵
二次型
半正定
标准形
规范形
惯性定理
惯性指数
施密特正交化
正交变换
正交对角化
矩阵合同
第四讲线性方程组
线性方程组
同解方程组
基础解系
方程组的公共解
线性方程组
解向量
非齐次线性方程组
齐次线性方程组
线代的本质
高数武忠祥
一元积分学-第四章
一阶留数定理
留数定理
三角的函数积分
万能公式
三角有理式积分
全角换元法
第二换元法
专题-分式积分
不同类型分式的积分
第一种分式积分
第三种分式积分
第二种分式积分
第四种分式积分
分式的类型
最终分解规则
分解出来的四种部分分式
第一种分式
第三种分式
第二种分式
第四种分式
待定系数的方法
代入法
掩盖法
求导法
第一步:分离出真分式
第三步:分解真分式
第二步:对真分式的分母进行因式分解
第五步:求各个部分分式的积分
第四步:计算出分式的分子
部分分式积分法
积分公式
ln积分
三角倒数的函数
三角函数的积分
分数的积分
幂函数
指数函数
特殊的定积分
积出来是ln
积出来是反三角函数
积分公式
积分表-不定积分汇总
规律总结
exp乘三角的积分
分部积分法
根号下x方+a方的积分∫√(x²+a²)dx
表格积分法
三重积分和多元积分学-第十二章
三重积分
三重积分
三重积分的性质
多元函数积分学
曲线积分
曲线积分例题
曲线积分例题
第一类曲线积分
第一类曲线积分
第二类曲线积分
第二类曲线积分
曲线积分
曲面积分
曲面积分
第一类曲面积分
第二类曲面积分
多元函数积分学
中值定理和微分学应用-第三章
曲率
弧微分
曲率
曲率圆
渐近线
水平渐近线
渐近线
铅直渐近线
函数的凹凸性
拉格朗日中值定理
拉格朗日型余项
拉格朗日型余项泰勒公式
拐点
极值的第二充分条件
柯西中值定理
罗尔定理
费马定理
二重积分-第九章
二重积分的性质
二重积分的不等式性质
二重积分的计算
二重积分的计算
奇偶性化简二重积分
极坐标算二重积分
轮换对称性简化二重积分
雅克比行列式积二重积分
二重积分
二重积分的中值定理
二重积分的物理应用
函数和极限-第一章
泰勒和无穷小-极限-第二节
无穷大
无穷大
无穷大量的性质
无穷大量的比较
无穷小
常用等价无穷小
无穷小
无穷小量的比较
等价无穷小
极限
函数的极限
常用极限
极限
极限的运算法则
泰勒公式
泰勒公式
保号性
函数在某点的极限
单调有界准则
夹逼准则
无界变量
无穷小的无穷大次
有界性
洛必达法则
间断点-极限-第三节
函数的连续性
可去间断点
振荡间断点
无穷间断点
第一类间断点
第二类间断点
跳跃间断点
连续函数闭区间上的性质
连续性的运算
间断点
多元函数微分学-第八章
偏导数
偏导数
多元分段函数偏导用定义
混合偏导数
全微分
全微分
全微分存在的充分条件
全微分存在的必要条件
多元函数的极值与最值
最值-多元函数的最大最小值
拉格朗日乘数法
无约束极值
极值的充分条件-多元函数
极值的必要条件-多元函数
求二元函数极值的一般步骤
多元复合函数的微分
全微分形式的不变形
多元复合函数的微分
偏积分
多元函数的极限
多元函数的连续性
多元函数连续可偏导可微之间的关系
隐函数的微分法
隐函数的积分
定积分和变限积分-第五章
反常积分
无界函数的反常积分
p积分-瑕积分
拆分区间证明瑕积分的敛散性
无界函数的反常积分
比较判别法-瑕积分的敛散性的证明
无穷区间上反常积分
p积分
比较判别法-反常函数的敛散性的证明
反常函数的定义
反常积分敛散性判别流程
广义p积分
变限积分
变限积分中的等价无穷小替换
变限积分只要存在必定连续
变限积分求导公式
定积分的中值定理
函数的均值
定积分的中值定理
定积分的性质
定积分的不等式性质
定积分的周期性
定积分的奇偶性
一元定积分中的常用公式
区间再现公式的理解与应用
定积分公式-特殊
定积分存在的充要条件
定积分的定义
导数和可微-第二章
可微
函数可微的充要条件
可微
可微、连续,可导之间的关系
高阶导数公式
cos的n次导
sin的n次导
和差的高阶导数
积的高阶导数
高阶导数公式
参数方程求导
可导的定义
导数极限定理
常用导数
微分的定义
视绝对值不见的ln(绝对值)导数
隐函数求导
微分方程-第七章
一阶微分方程
一阶微分方程
一阶线性微分方程
一阶齐次微分方程
伯努利方程
可分离变量的方程
高阶微分方程
可降阶的高阶方程
二阶可降阶微分方程
方程不显含x
方程不显含y
可降阶的高阶方程
高阶线性微分方程
二阶常系数线性微分方程
二阶常系数线性微分方程
二阶常系数非齐次线性微分方程-非齐次的特解
二阶常系数齐次线性微分方程-齐次的通解
n阶常系数齐次
二阶变系数线性微分方程
线性无关的解
解的结构
高阶线性微分方程
高阶微分方程
微分方程
微分算子法
欧拉方程
通解与特解
旋转体面体积和定积分应用-第六章
旋转体侧面积
旋转体侧面积
旋转体的体积
旋转体的体积
曲面绕x轴旋转一周的体积
曲面绕y轴旋转一周的体积
古尔丁定理
定积分的应用
平面图形的面积
曲线的弧长
无穷级数-第十章
傅里叶级数
定义域只有一半的函数的展开
周期偶延拓
周期奇延拓
周期延拓
余弦级数
傅里叶系数
傅里叶级数
正弦级数
狄利克雷收敛定理
幂级数
幂级数的性质
幂级数有理运算的性质
幂级数的分析性质
幂级数的性质
幂级数的敛散性
幂级数的敛散性有三种可能
阿贝尔定理
收敛半径
收敛半径
收敛半径的求法
收敛点和发散点
收敛域
不缺项幂级数的收敛域
不缺项幂级数的收敛域
缺项幂级数的收敛域
缺项幂级数的收敛域
收敛域
收敛域的求法
收敛点和发散点
函数的幂级数展开
函数项级数
常用的幂级数展开
幂级数
级数-二级结论
平方同敛散
级数-二级结论
级数大总结
级数敛散性的判定
交错级数
交错级数
交错级数的性质
莱布尼兹准则
任意项级数
任意项级数
条件收敛
条件收敛的基本结论
绝对收敛
绝对收敛的基本结论
正项级数
比较判别法
比较判别法
比较判别法的极限形式
根值判别法
正项级数
正项级数的敛散性判定
比值判别法
积分判别法
级数敛散性的判定
级数的性质
满足运算的分配率结合律
级数中可以改动有限项
级数可以在其中任意加括号-结合律
级数收敛,级数通项的最后一个必然为0
级数的性质
重要级数
p级数
交错p级数
交错调和级数
调和级数
级数
级数的部分和
梯度散度旋度-第十一章
向量代数
平面方程
点到平面的距离
点到平面的距离
一般式-平面方程
三点式
平面与平面的夹角
平面方程
平面束方程
截距式
点法式
直线方程
点到直线的距离
点到直线的距离
一般式-直线方程
两点式
参数式
点向式
直线与平面的夹角
直线与直线的夹角
直线方程
单位向量
方向余弦
方向角
混合积
向量代数与空间解析几何
曲线的切线
曲线的切向量
曲线的切向量
用参数方程给出的曲线求切向量
用方程组给出的曲线求切向量
曲线的切线
曲线的法平面
参数方程给出的曲线的法平面
方程组给出的曲线的法平面
曲线的法平面
向量代数与空间解析几何
场
向量场
场
数量场
散度
散度
方向导数
方向导数
方向导数的计算公式
旋度
旋度
曲面与空间曲线
空间曲线
一般式-空间曲线
参数方程-空间曲线
曲线在坐标轴上的投影
空间曲线
空间曲面
二次曲面
二次曲面
单叶双曲面
双叶双曲面
双曲抛物面
抛物面
椭球面
锥面
旋转曲面
旋转曲面
绕坐标轴旋转的旋转面方程
柱面
双曲柱面
抛物柱面
柱面
椭圆柱面
曲面与空间曲线
梯度
梯度
梯度是方向导数最大的方向
梯度的运算法则
第十一章
曲线与曲面积分公式整理
构造等价无穷小理论与一个重要技巧
考研数学常见超纲方法总结
Home
❯
刷题
❯
数二真题
❯
2012年数二试题
❯
题11
题11
Jun 19, 2025
1 min read
题11
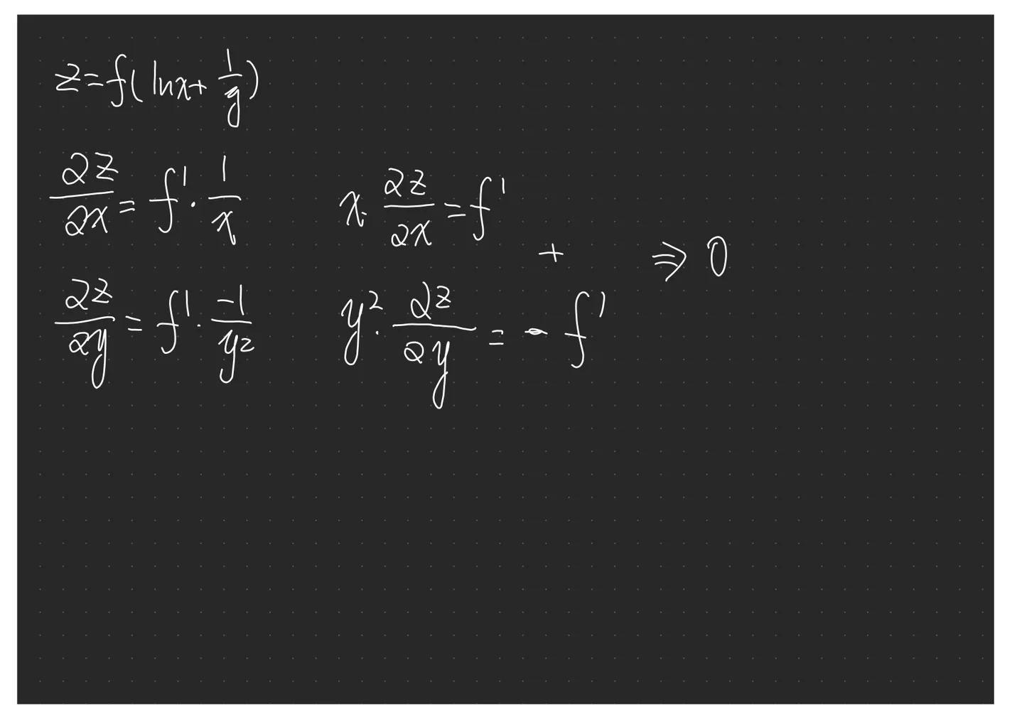
题目
[!question]+
(11) 设
,其中函数
可微,则
分析
[!NOTE]+
还可以考虑用
全微分
来算一下:
解
[!done]-
因此,
Graph View
Table of Contents
题11
题目
分析
解
Backlinks
2012年数二试题