Search
❯
Jun 19, 20251 min read
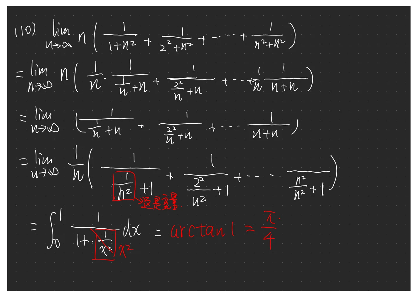
[!question]+ (10)
[!NOTE]+
[!done]- 对于此类极限,一般做法是尝试将极限表达式凑成 的形式.
解 从定积分的定义出发, 对原极限进行恒等变形.