题9

题目

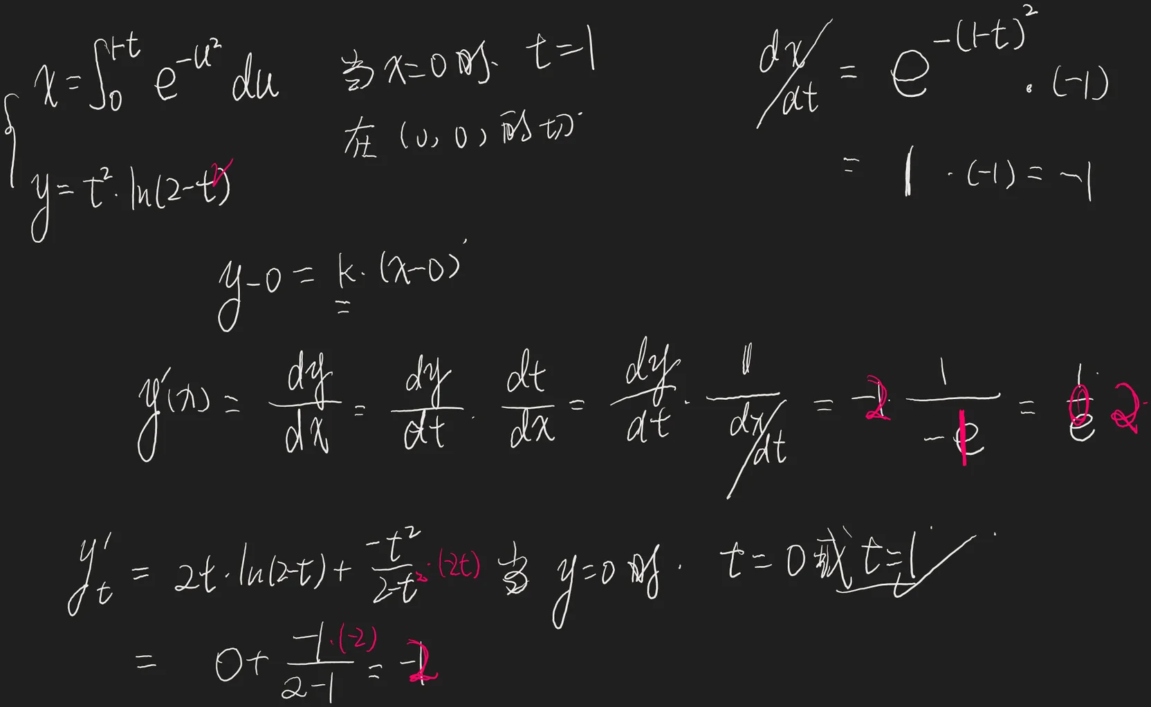
[!question]+
(9) 曲线 在点 处的切线方程为

分析

[!NOTE]+
例5.1做过

[!done]-

解 先求点 所对应的参数 的值.

由于 ,故只有当 时,即 时, ,且 时, . 于是, .

得,

得,

因此,曲线在点 处的斜率为

曲线在点 处的切线方程为 ,即 .