例9.27

题目

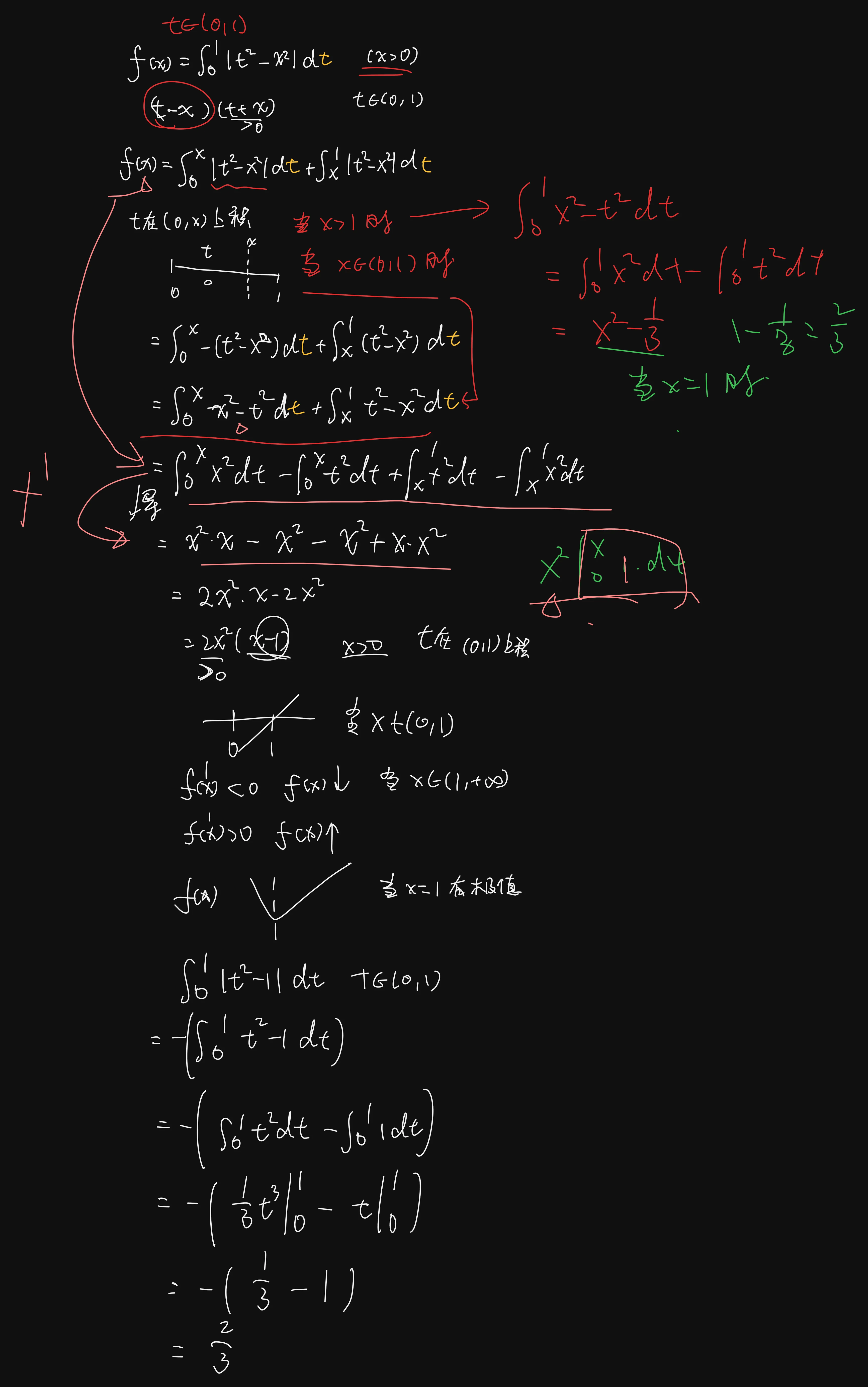
P227 设函数 ,求 ,并求 的最小值.

分析

最新的一次做,这是真题:题16
|400
例9.26是类似的,注意这个变限积分求导以后是,不是
|350

时,

时,

所以

得唯一驻点 ,又 ,从而 的最小值点,最小值为 .