例9.26

题目

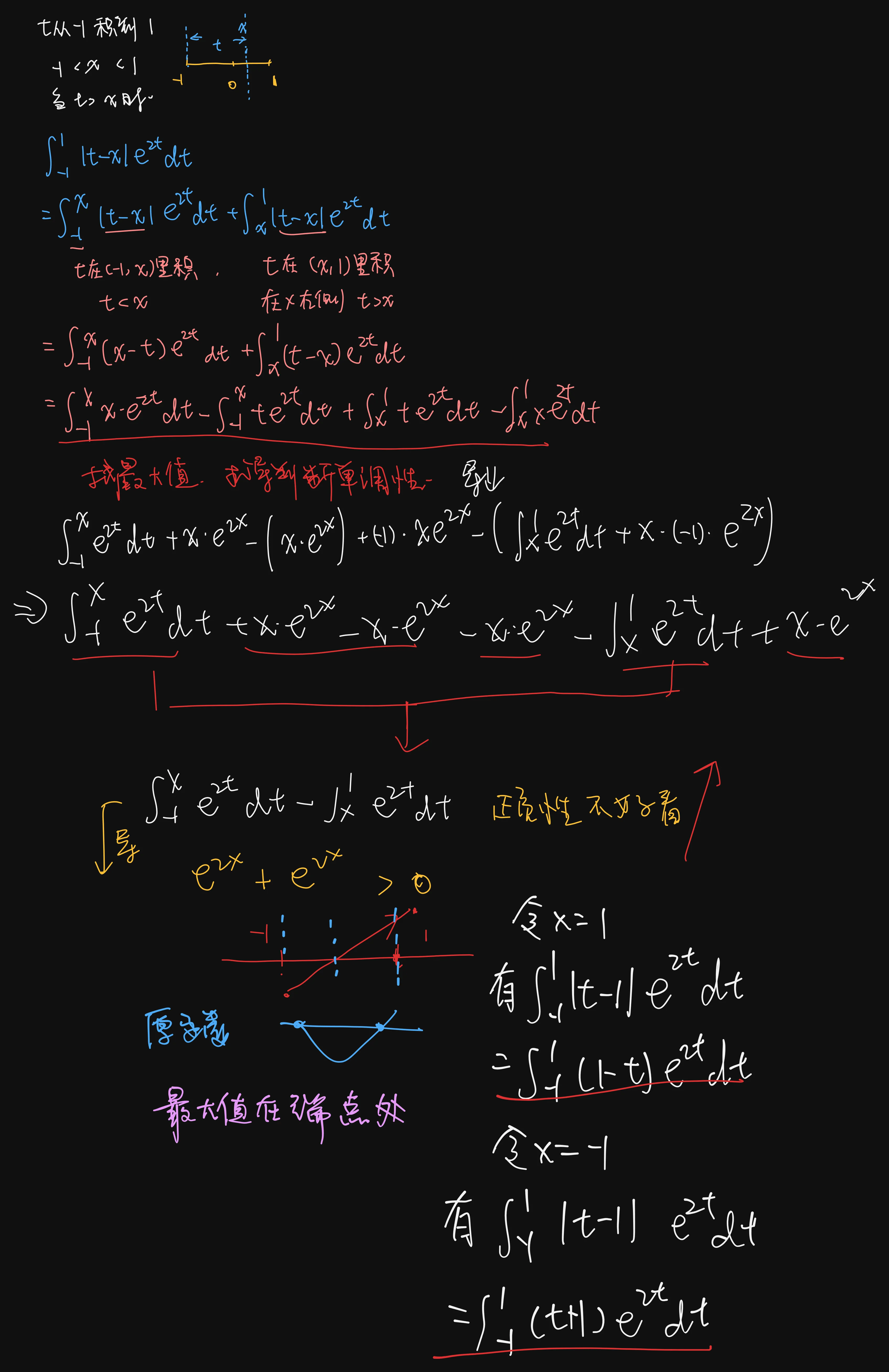
P226 设 ,求积分 的最大值.

分析

按照经验说这种结构,分两段积,变成变限积分例1.19还有例1.15,以及真题题16都是这个考点
|450

由题设知, 要分情况讨论.

为唯一驻点, ,故 上的最小值点,最大值只能在端点 处取得. 又

所以 .