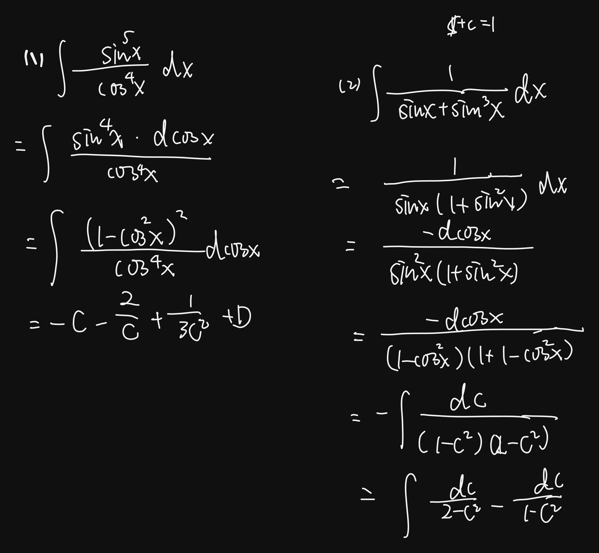
例9.17 题目 Q:P221 求下列不定积分. (1) ; (2) . 分析 A:注意第二个这个结构和其中是一个多项式,一般会考虑上下同时乘以,再用x凑微分,来做这种多项式的,这里也是这个思路,上下同乘,然后把拿去凑微分 解