例8.9

题目

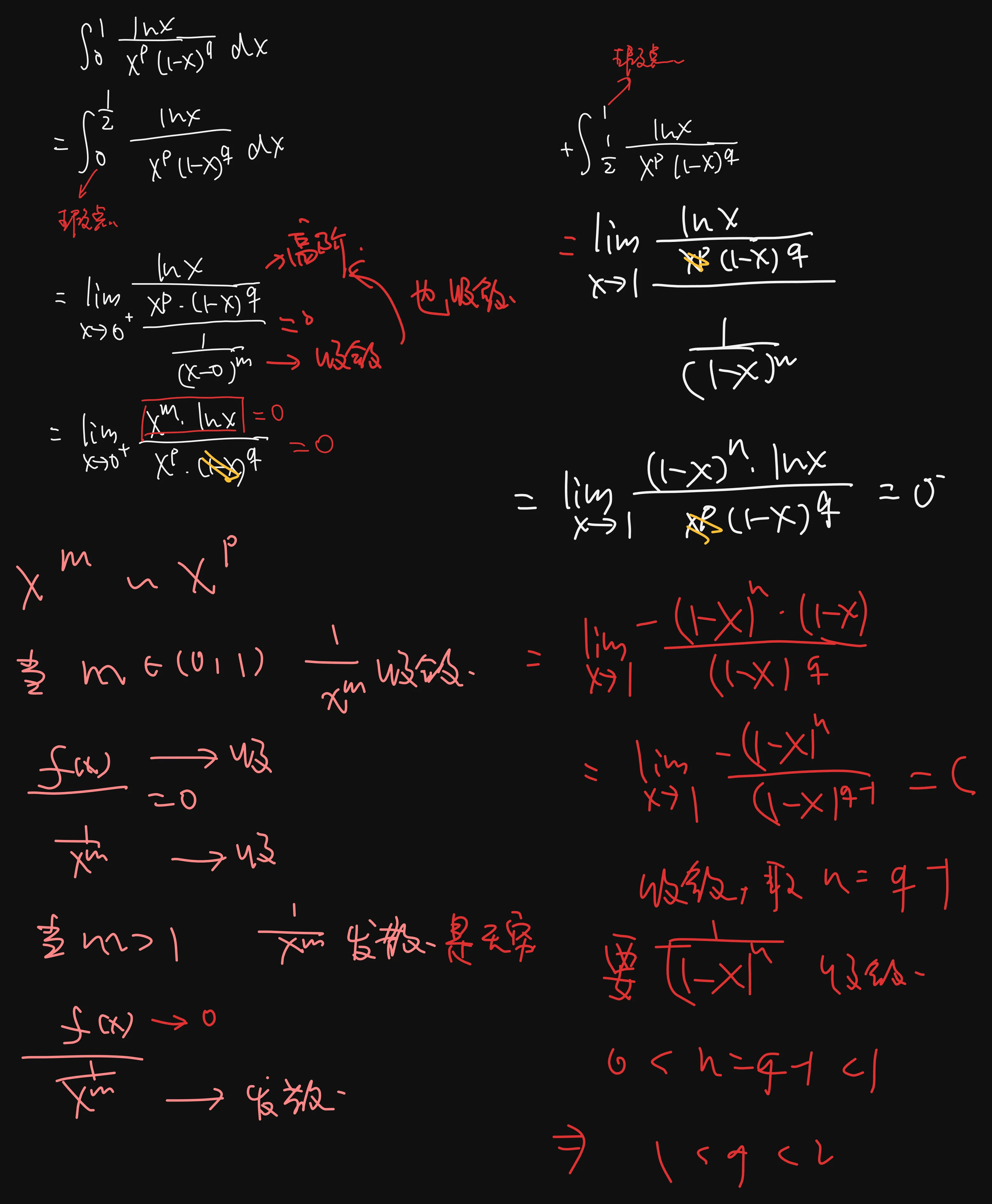
Q:P200 设常数 ,若 收敛,则 ( )
(A)
(B)
(C)
(D)

分析

A:通过反常积分敛散性判别流程来做,这里有ln涉及三类问题
分段的时候,看在哪些点事非0非无穷的常数
趋于0的时候趋近于1,所以分段的时候,可以不要
趋于1的时候也是可以不要的

找三类,有一个,也就是前面这部分比较麻烦

下面这个是葫芦正确的思维

我的分析和作答比较混乱