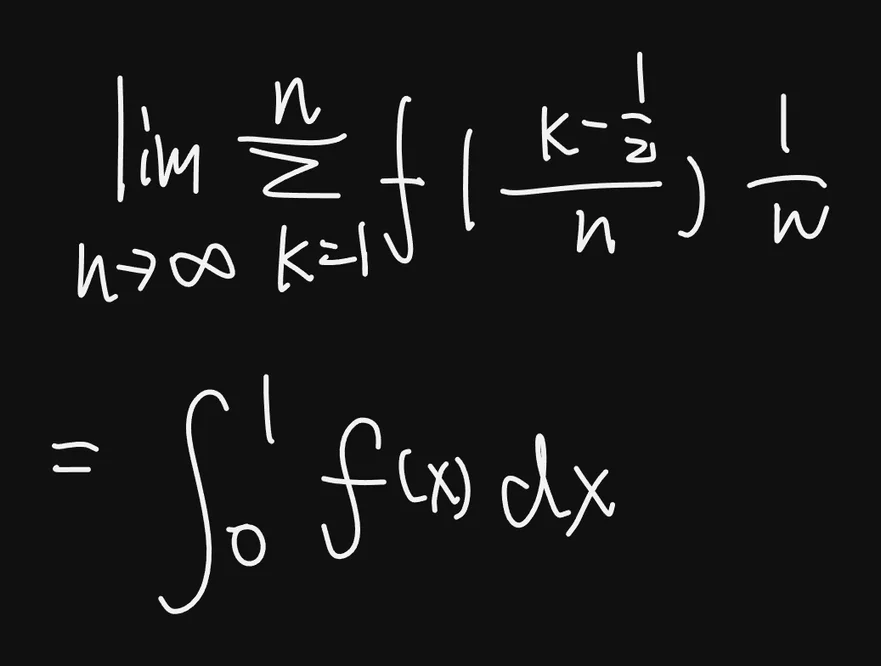
例8.7 题目 [!question]+ 题7,设函数 在区间 上连续,则 . (A) (B) (C) (D) 分析 [!NOTE]+ 还是用定积分的定义往万能的那个公式上凑,这个题目还挺关键的 解 [!done]+