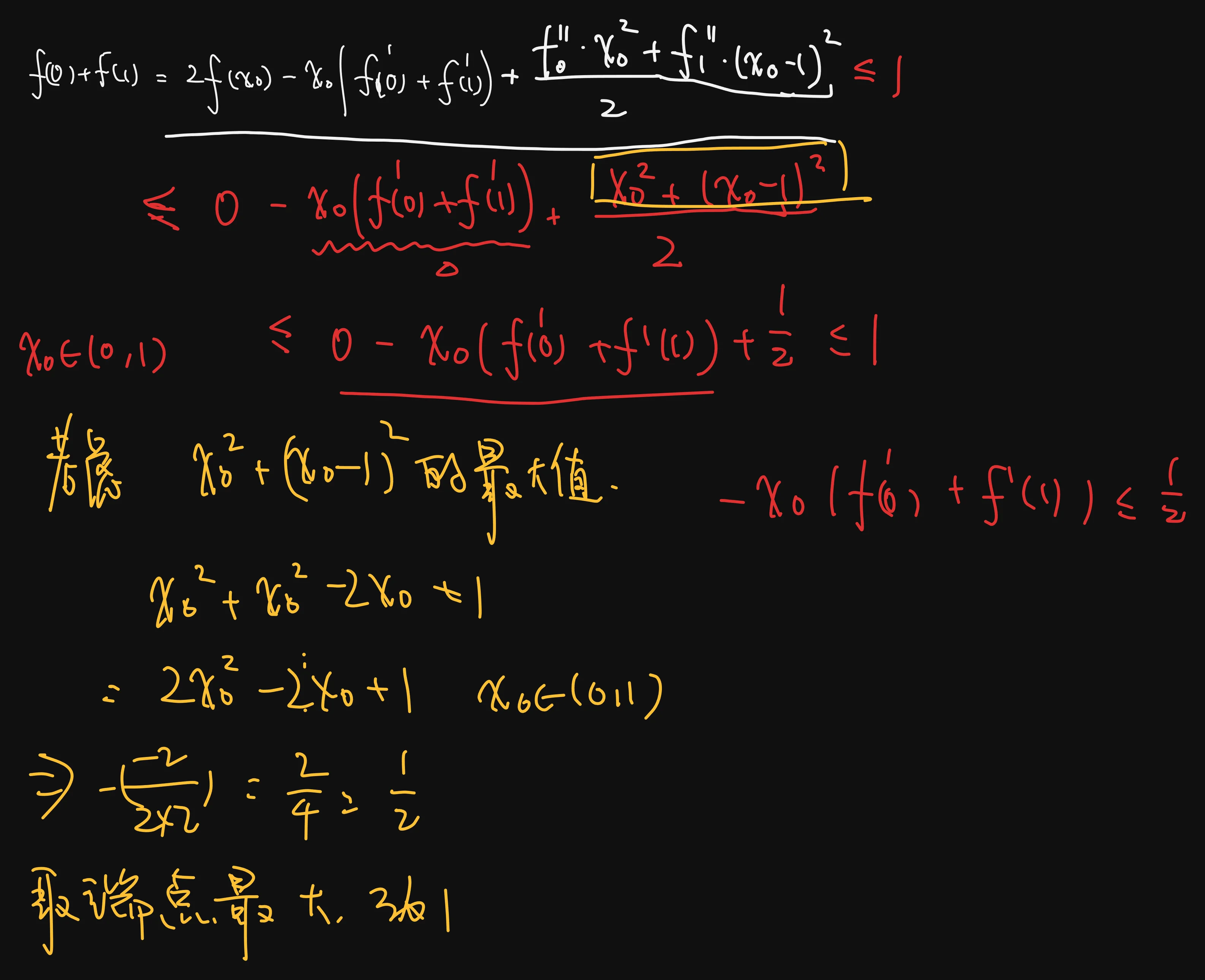
例6.31 题目 Q:P156 设函数 在 上存在二阶导数,且对于任意 . 若 在区间 内取到最大值. 证明: . 分析 A:可以直接把,然后再上泰勒,展到第二项就是了,不要习惯性的,从开始展开,要是没说的一些条件,展它干嘛! 解 【证】设 是 的最大值点,则 是 的极大值点,故 . 则取 为 由于 且 ,因此