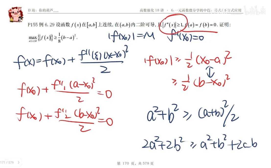
例6.29 题目 Q:P155 设函数 在 上连续,在 内二阶可导,且 . 证明: . 分析 A:注意形如:或者这种结构,这和有最大值,最小值,或者说有极值的描述是等价的 考虑泰勒公式展开的点的优先级:极值点>=驻点>=中点=有额外条件的端点>端点。这里就是在极值点这里展开,因为题目给了最值上的描述 这里端点给了信息,优先级要提前 同样最后又用了绝对值不等式和均值不等式来凑题目里面的目标 解