例5.5
题目
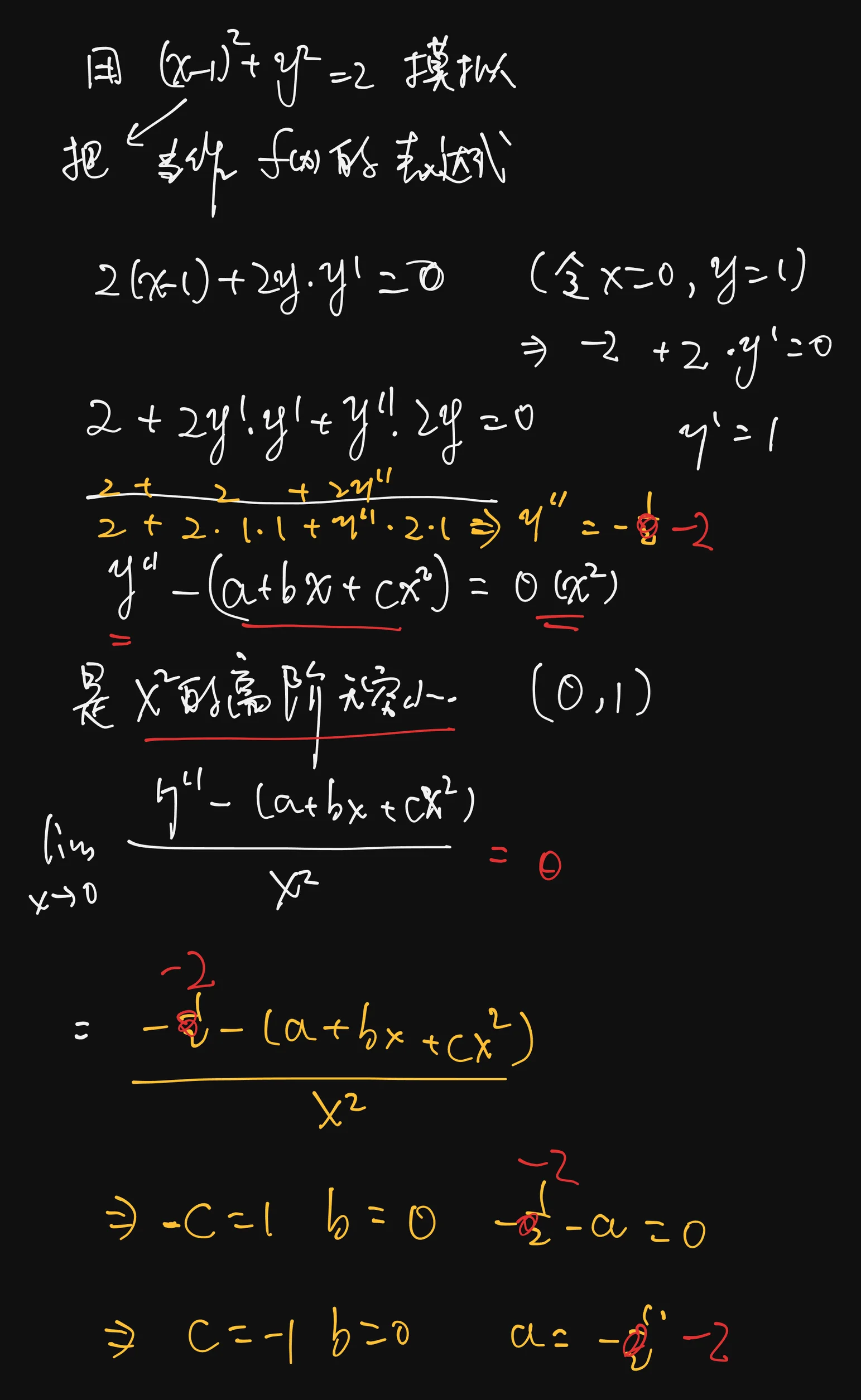
Q:P118 (仅数学一、数学二) 已知曲线
(A)
(B)
(C)
(D)
分析
A:很多年真题考过,邂逅遗憾说是重点
葫芦直接看出来是皮亚诺型余项泰勒公式,因为给了点,还给了关于
关键在于直接把曲率圆方程视作是f(x)的最佳近似,然后因为曲率圆和该f(x)在同一处有相同的切线,又可以对x求偏导数,构造微分方程的形式,来进一步得到f(x)导数的值和性质
解
应选(C).
由题意可知,点
对曲率圆方程
故可得
即有
对
代入
故当
故由题意知,
