例5.12

题目

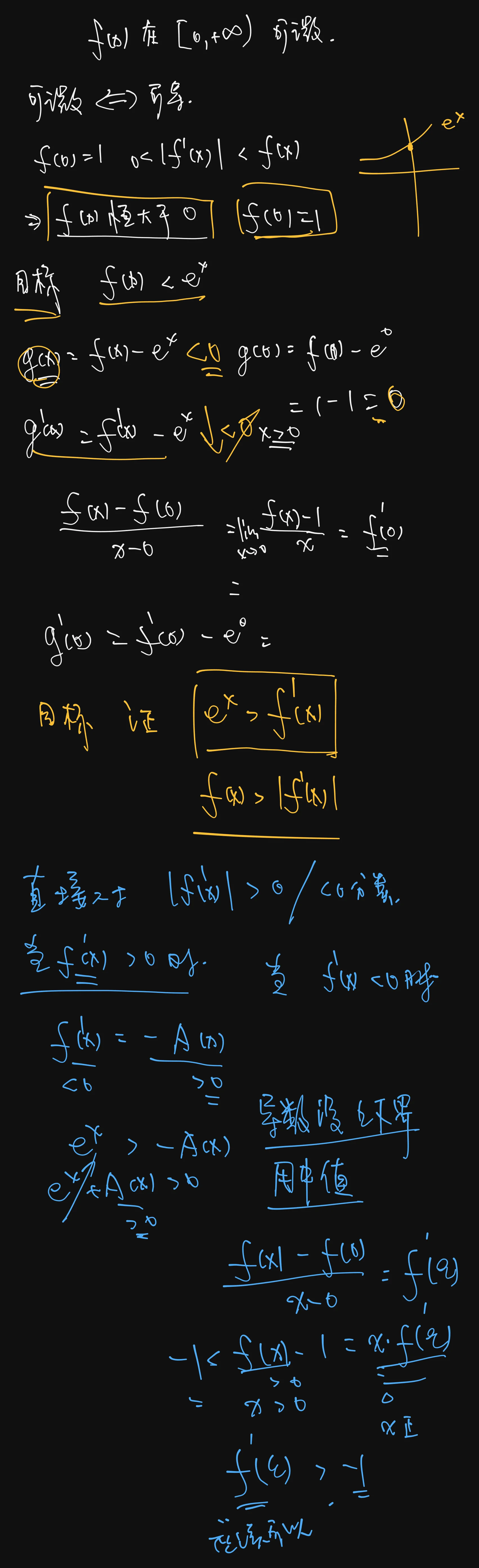
Q:P121 设 上连续可微,且 .
证明:

分析

A:构造辅助函数,由题设 .为了构造符合乘积求导法则的形式,回顾一下:

但是这里是减号,令 , 则
另一方面,不要怕绝对值,可以直接先去掉绝对值看看再说



所以 上单调减少,于是当 时,

, 亦即