例5.16

题目

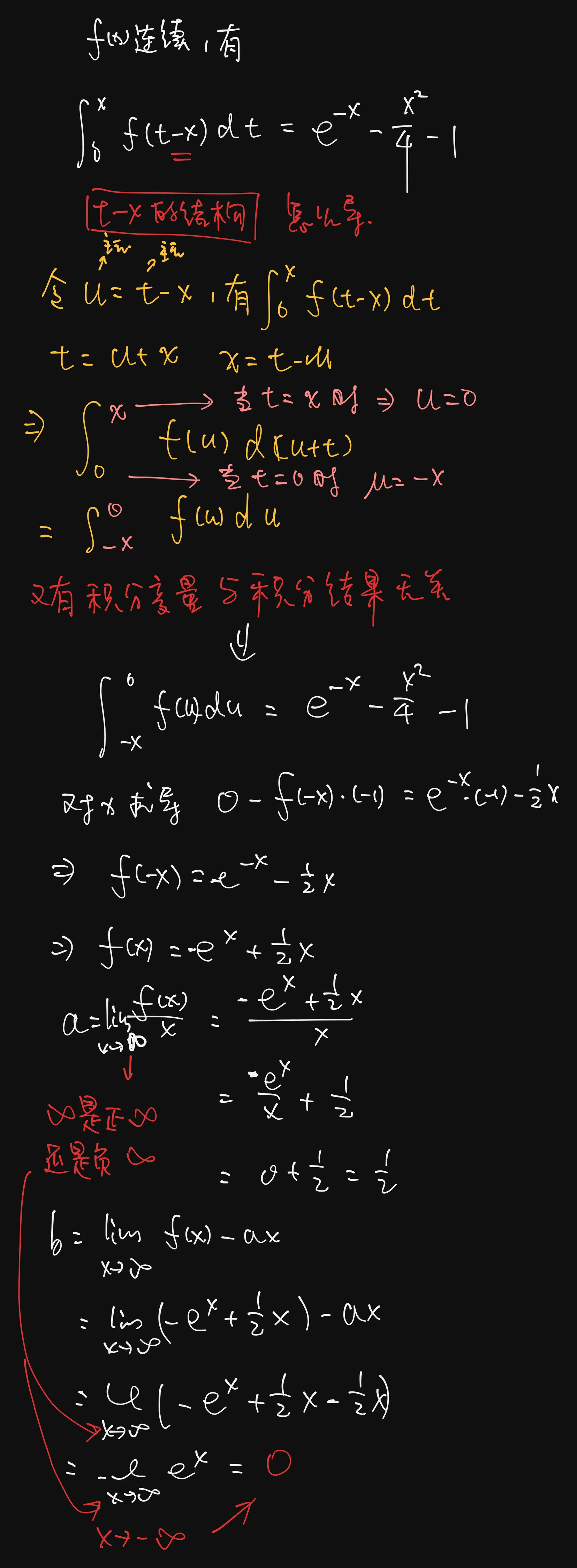
[!error]+
设函数 内连续, 且满足 , 则曲线 有斜渐近线 _

分析

[!NOTE]+
渐近线要注意看到底是正无穷还是负无穷,如果极限是无穷,应该是叫做铅锤渐近线,和题目这个斜渐近线是不一样的。
|300

[!done]+
【解】应填 .
,则 . 对方程 两边求关于 的导数,得 ,即 . 因为

所以曲线 有斜渐近线 . 同理可判断 时,曲线无斜渐近线.