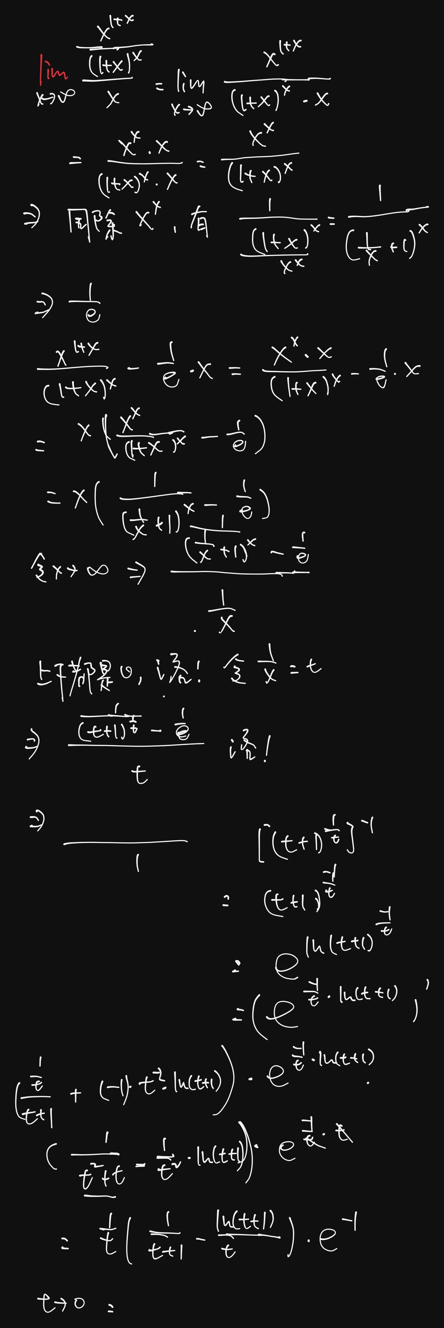
例5.15 题目 [!error]+ Q:求曲线 的斜渐近线方程. 分析 [!NOTE]+ A:题15里的原题,例1.60算过这个极限,又算错了,有指数的还是无脑考虑怎么这种结构 解 [!done]+ 【解】因为 由例 所以曲线 的斜渐近线方程为 .