例5.14

题目

[!question]+
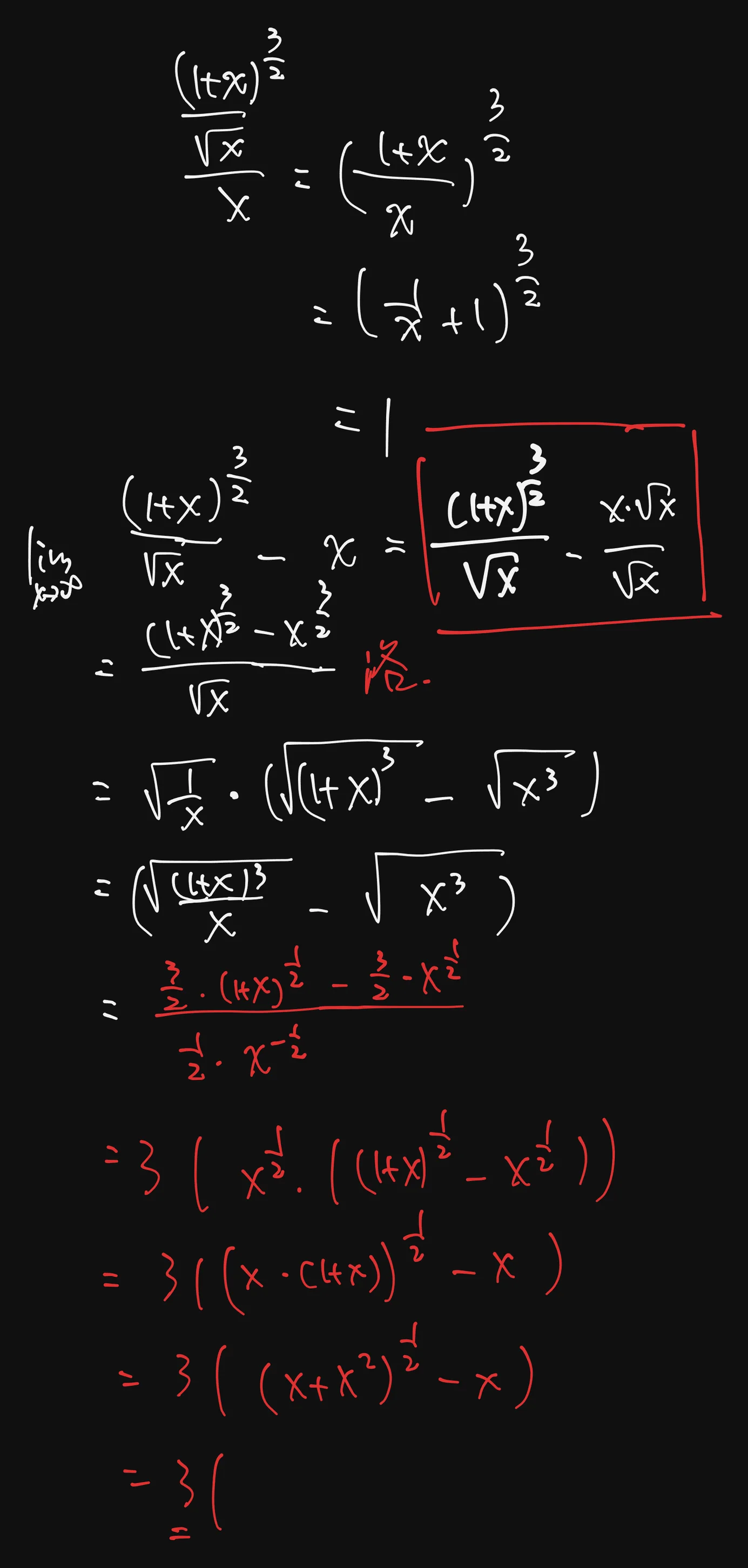
P122 曲线 的斜渐近线方程为___.

分析

[!NOTE]+
这个极限我们在例1.58里面算过,当时我是换元了但是现在却没写出来hhh
|300

[!done]+
【解】应填 .
因为

故所求斜渐近线方程为 .