例10.1

题目

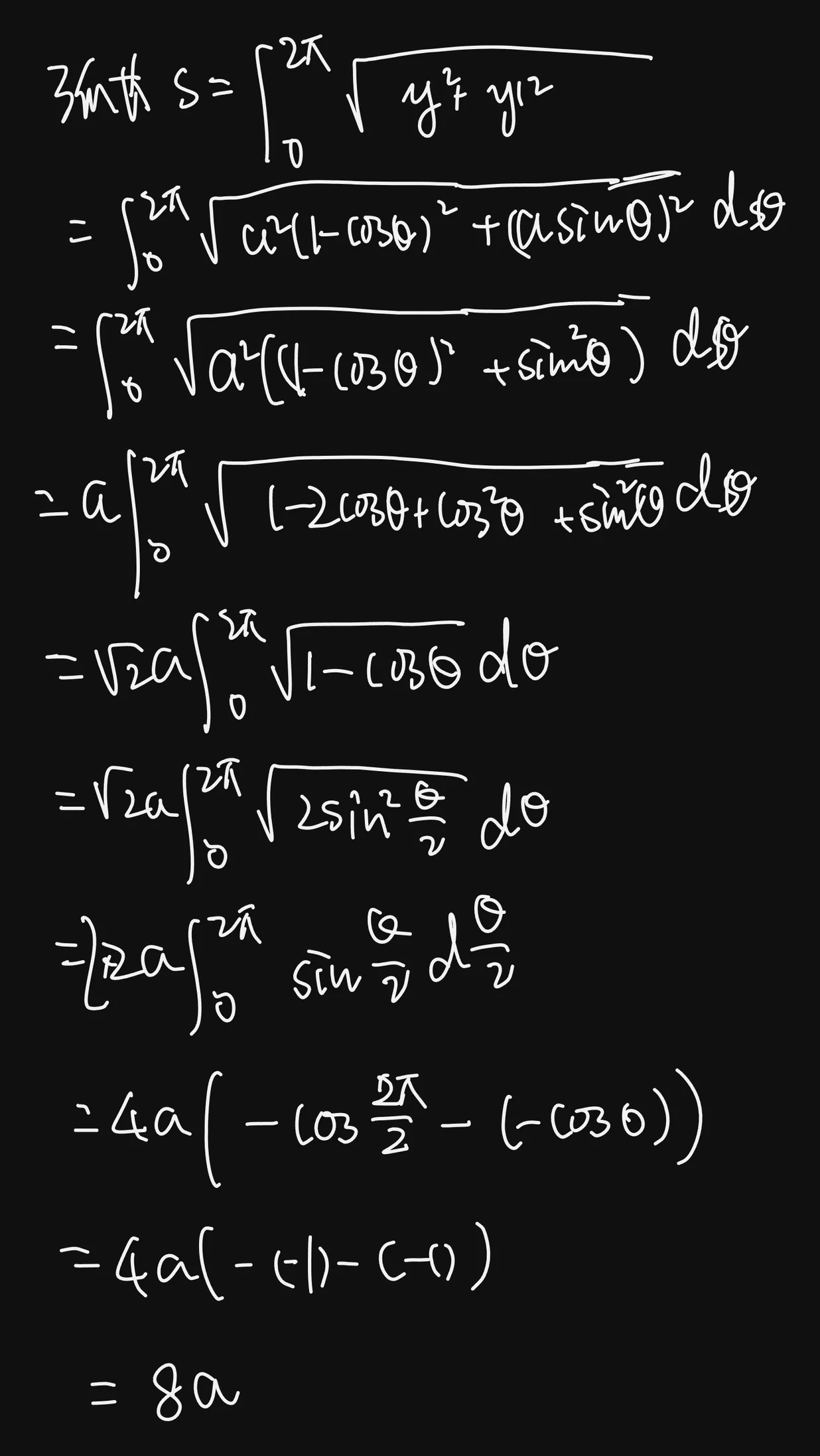
Q:P238 求心形线 的弧长 (仅数学一、数学二) 所围图形的面积以及绕 轴旋转得到的旋转体的体积.

分析

A:曲线的弧长和三角形的斜边是类似的,旋转体的体积直接用古尔丁定理,注意这是围成的平面图形的面积,不是旋转体侧面积

注意,这种结构,是可以先利用定积分的周期性为周期,分成4份,然后直接使用华里士公式

旋转的这个函数是对称的,只旋转一半,也就是积分