例2.27

题目

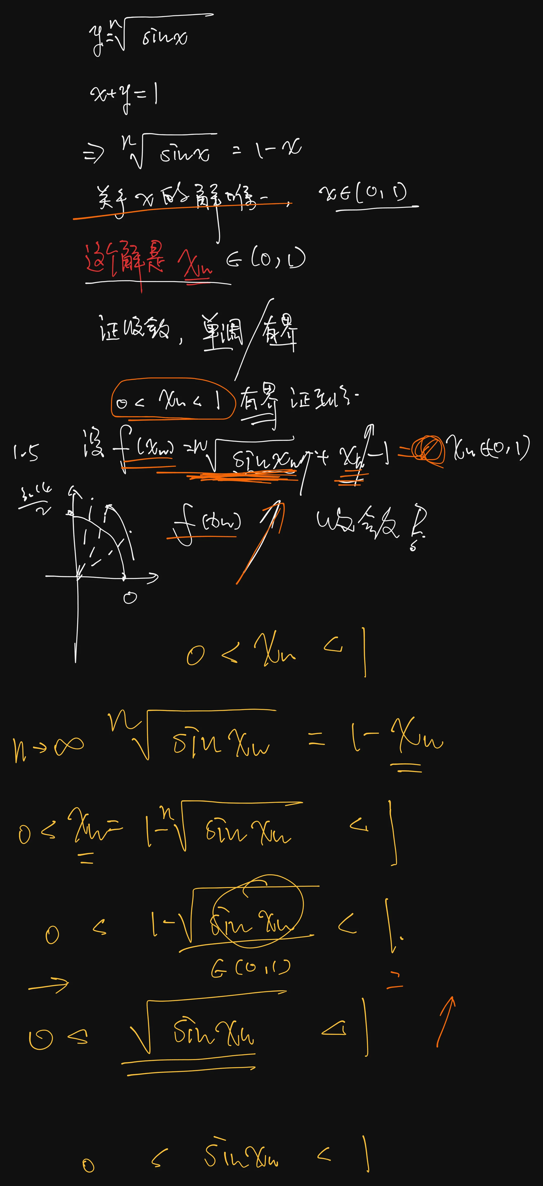
Q:P83 (1) 证明曲线 与直线 内有唯一交点
(2) 证明 (1) 中的 收敛,并求
(3) 计算

分析

A:交点的问题就是解的唯一性的问题,说明两个函数划上等号的解是唯一的
我卡在了,没办法把夹逼出来这个问题上
的单调是数列的单调,别给绕进这个函数里面了,应该是去作差03:19

这里是用反证法
做错了的核心在于,被绕进去,把数列和函数糅在一起了
还要额外注意,这一句:
,又 单调减少,所以 ,故 单调减少.
函数的单调性,可以反过来判断自变量的大小关系

(1)【证】令 ,则

,故 单调减少,于是存在 ,使得 ,即存在唯一交点 .
(2)【解】由 (1) 知, ,故 有界. 又

,又 单调减少,所以 ,故 单调减少.
由单调有界准则,有 ,若 ,由 ,有

时,上式两边取极限,有

等式左边为 ,等式右边为 0,矛盾,故 .
(3)【解】 .