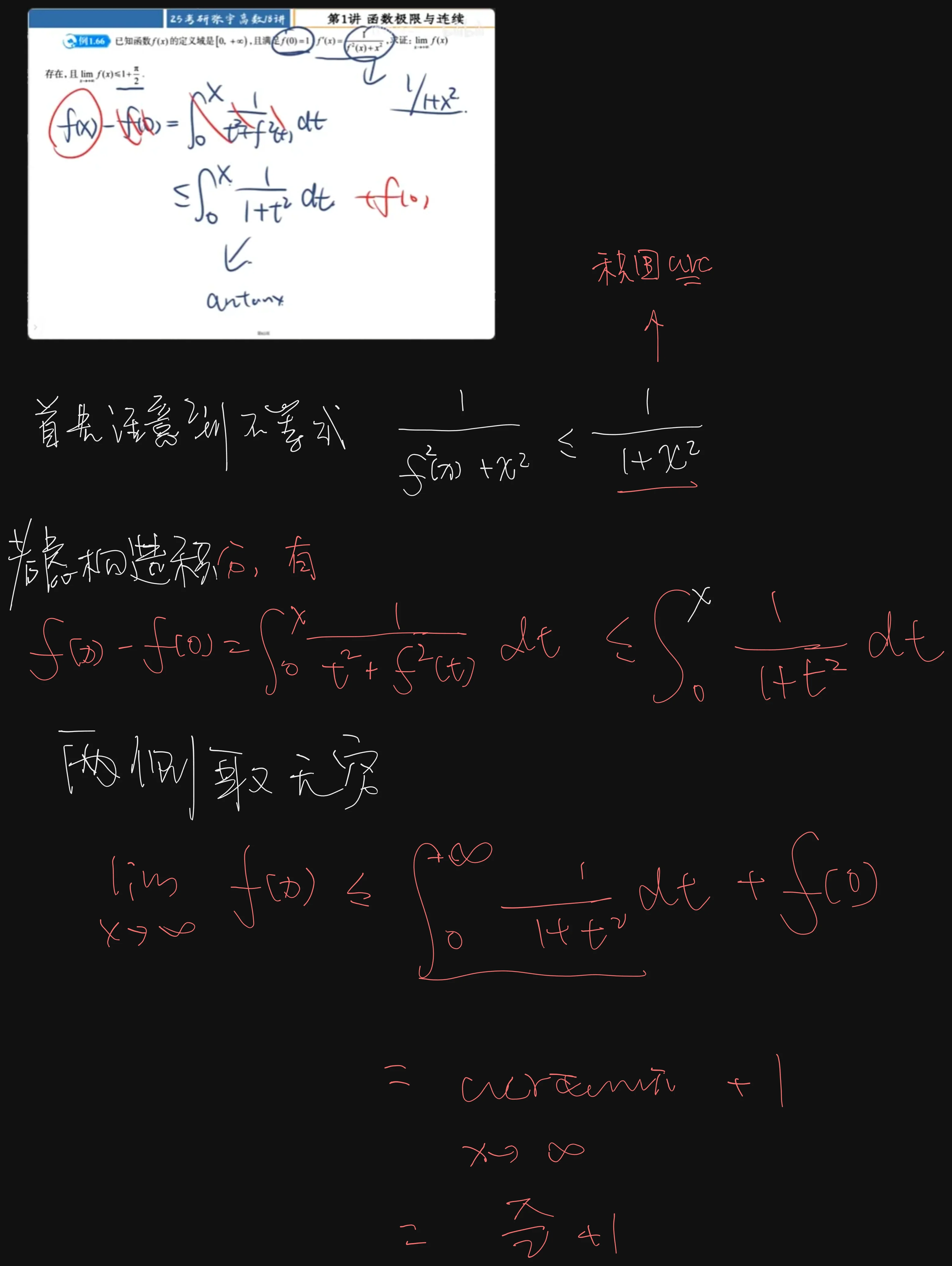
例1.66 题目 Q:P65 已知函数 的定义域是 ,且满足 ,求证: 存在,且 . 分析 A:考虑目的结构中是怎么来的,考虑把右边往去放缩,然后积分回三角函数,找这个 为什么会想到这个反三角函数,因为给出了端点,也就是0处,观察又是一个平方组成的式子,所以导数是大于0的, 显然,从而 单调递增,由 得 . 再由 解 例1.66-2024-09-23-13-07-16.excalidraw