例1.14
题目
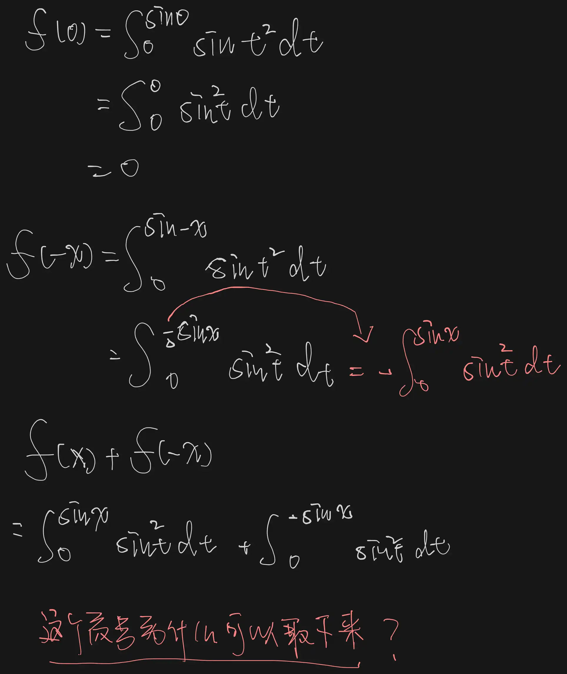
已知
分析
05:39 这是24年数一真题的改编
奇偶性先考虑0这个点
把变上限函数看作是被积分的一个原函数,他的变上限不一定是X变上限,可以是别的函数,比如这里就是sin X,那么此时就变成了一个复合函数,就是他的其中一个原函数就是g(x),那其中这里的X变成了sin X,就构成了这个变上限的上限是一个函数的这种形态。

对于这一步不理解,为什么-sinx被变成了sinx,
是因为奇偶性
【注】
已知
05:39 这是24年数一真题的改编
奇偶性先考虑0这个点
把变上限函数看作是被积分的一个原函数,他的变上限不一定是X变上限,可以是别的函数,比如这里就是sin X,那么此时就变成了一个复合函数,就是他的其中一个原函数就是g(x),那其中这里的X变成了sin X,就构成了这个变上限的上限是一个函数的这种形态。

对于这一步不理解,为什么-sinx被变成了sinx,
是因为奇偶性
【注】